buenas noches, tengo una pregunta rapida, en una integral es posible multiplicar y divir por X? estoy realizando un ejercicio y la unica manera para que me salga bien es haciendo eso
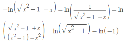
me podeis ayudar con el c no tengo ni idea de como simplicas los logaritmos,creo que el proceso esta bien pero YO llego a : -in 5-5In6+ 6In -5In MUCHAS GRACIIAS
Buenas noches. Alguien me ayuda con este problema? Tiene que salir 11/14 y me sale 7/28.
"Un examen de tipo test consta de 70 preguntas. Una alumna se sabe 50 preguntas de las 70. Si en cada pregunta hay cuatro posibles respuestas y sólo una es la correcta. ¿Cuál es la probabilidad de que elegida una pregunta al azar, dicha alumna la conteste acertadamente?"
Gracias
AYUDA PORFAA
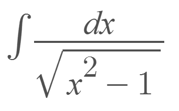
Buenas tengo una duda, es con una integral impropia, la hice pero segun el libro y el internet dan resultados distintos y a mi tambien me da otro resultado, aqui les dejo la foto y los resultados de cada uno.
Resultado del libro: π/2√3
Resultado de internet :2π/3√3
Mi resultado 4π/3√3

Observa que el dominio de la función es D = (-1,+∞), y observa que la expresión de la función puede ser escrita en tres trozos:
f(x) =
- ln(1+x)/x si - 1 < x < 0
1 si x = 0
ln(1+x)/x si x > 0
Luego, observa que el primer trozo es continuo en su porción de dominio,
observa que el tercer trazo es continuo en su porción de dominio,
por lo que queda por estudiar la continuidad en el punto de corte, consignado en el segundo trozo:
1°) f(0) = 1 (como indica el segundo trozo);
2°) Límites laterales (observa que son indeterminados, y que los resolvemos con la Regla de L'Hôpital):
Lím(x→0-) - ln(1+x)/x = aplicamos la regla = Lím(x→0-) - 1/(1+x) = - 1,
Lím(x→0+) ln(1+x)/x = aplicamos la regla = Lím(x→0-) 1/(1+x) = 1,
y como los límites laterales no coinciden, tenemos que Lím(x→0) f(x) no existe;
3°) luego concluimos que la gráfica de la función presenta una discontinuidad inevitable tipo salto en x = 0.
Espero haberte ayudado.
Hola. Ya había hecho ésta pregunta con otro ejercicio pero ahora tengo otra duda respecto al MÉTODO DE EULER-Cálculo Integral de otros ejercicio.
Aplicando ésta fórmula, quise comprobar de nuevo que usando cualquiera de los dos signos, da la misma respuesta.
i) √ax2 + bx + c = ±√ax + t si a > 0.
Pero en este ejercicio específicamente no puedo hacerlo.¿pueden ayudarme? Gracias.