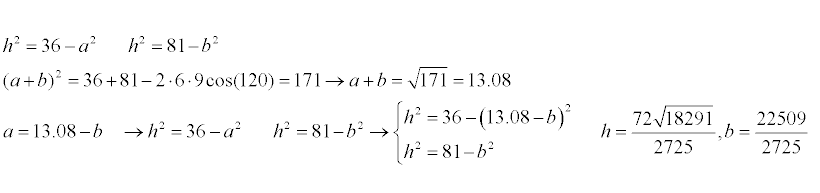
Tengo que hallar distancia AC, con datos AB = 6, BC = 9 y ángulo ABC = 120º. Según mi solución me queda resolver "h" en esa pedazo de ecuación. Seguro que alguno de ustedes tiene otra solución. Gracias por adelantado y un saludo a toda la Comunidad
Estoy atascado, llevo haciendo triángulos hasta aburrirme y ahora tengo este ejercicio. Me piden las distancia AB. No necesito el desarrollo completo, con la idea yo lo realizaría. Gracias por adelantado.


Observa que el polígono es un trapezoide, que es un cuadrilátero, por lo que la suma de sus ángulos interiores, que son los que has señalado, tiene que ser igual a 360°, cosa que no se verifica con las medidas que has consignado en el gráfico.
Cuando te indican las medias de los ángulos tienes que el vértice está indicado en el centro:
ACD = 60°, vértice C, lados CA y CD;
BDC = 75°, vértice D, lados DB y DA;
ACB = 45°, vértice C y lados CA y CB.
Haz el intento de afrontar el ejercicio, y si te es preciso, no dudes en volver a consultar.
Espero haberte ayudado.
ADB = 30°, vértice D y lados DA y DB.
Buenas unicoos, por favor, podéis ayudarme con éste problema?
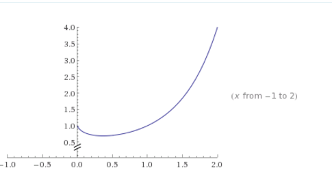
Calcular la ecuación de la recta tangente a la función y = y(x) definida implícitamente por la relación para el punto x = 0.
Saludos,
Buenos días, soy nuevo en unicoos. Me gustaría suscribirme a un plan de pago en concreto el de 12 meses
Lo estoy intentando a través de un IPad pero no puedo.
Sabeis que puedo hacer?
Es compatible con iPad?
Hay qué suscribirse primero a través de un PC y luego usar iPad?
Muchas gracias
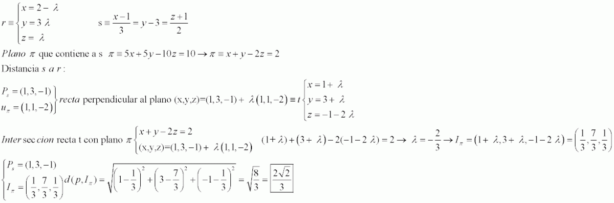
¡Buenos días! ¿Podría alguien si es tan amable echarme un cable con este ejercicio. Me piden que calcule la distancia entre dos rectas de tres modos distintos y cuando lo hago, no sale la misma distancia. No comprendo del todo por qué. Quizá esté mal planteado, pero no lo veo... ¿Alguna ayuda? Muchas gracias de antemano.
Si a, b y c son números distintos, ¿es posible que
a + 2b < b + 2c < c + 2a?

Podemos tomar dos ejemplos, en los que consideramos números racionales:
1) a = 2,5, b = 1 y c = 2, y la doble desigualdad queda: 4,5 < 5 < 7, por lo que resulta Verdadera;
2) a = 1, b = 2, c = 3, y la doble desigualdad queda: 5 < 8 < 5 , por lo que resulta Falsa.
Luego, tienes que la doble desigualdad no es Verdadera para toda terna de números racionales, pero si existen ternas para las cuáles si lo es.
Espero haberte ayudado.