Foro de preguntas y respuestas de Matemáticas

logo beUnicoos
Los foros de unicoos se han unificado en nuestra nueva plataforma beUnicoos. Para dejar nuevas preguntas deberás hacerlo allí, donde además podrás encontrar nuevas asignaturas y herramientas para ayudarte más con tus estudios.

  • icon

    Deidara Stick.
    el 22/4/17

    Hola amigos de unicoos..Puede de favor ayudarme con un problemita, implica geometría del espacio...

    Gracias de antemano.

    replythumb_up0 voto/sflag
    icon

    Antonius Benedictus
    el 22/4/17


    thumb_up0 voto/sflag
  • icon

    Guillem De La Calle Vicente
    el 22/4/17

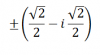
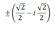
    ¿Cuál es la raíz cuadrada de -i?

    replythumb_up0 voto/sflag
    icon

    Antonio
    el 22/4/17

    13π/4   y  1-π/4

    thumb_up0 voto/sflag
    icon

    Antonius Benedictus
    el 22/4/17


    thumb_up0 voto/sflag
  • icon

    Lucía Sánchez
    el 22/4/17

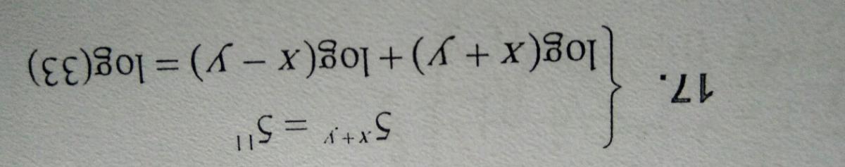
    Hola, alguien me ayuda con estos sistema?

    replythumb_up0 voto/sflag
    icon

    Ángel
    el 22/4/17

    20)

    log2(x-y)=2  (*)

    log2x-log2y=1   (**)


    Quitando logaritmos de (*):

    log2(x-y)=log222

    log2(x-y)=log222

    x-y=4 (***)


    Quitando logaritmos de (**):

    log2x-log2y=1 

    log2x-log2y=log22

    x/y=2 (****)


    Solucionando (****) obtenemos x=2y, que si lo sustituimos en (***) nos queda como solución 2y-y=4------->  y=4

    y finalmente sustituyendo y=4 en (****) obtenemos x-4=4 ------------>  x=8

    thumb_up0 voto/sflag
  • icon

    Virginia
    el 22/4/17

    Buenos días!

    Soy nueva en "unicoos"

    Quisiera saber si hay videos de teoria, por ejemplo que expliquen el concepto de derivada.   Cuando me inscribí en "unicoos pro" indicaba que tendría acceso a la teoría, pero no la encuentro.


    Gracias,


    Virginia

    replythumb_up0 voto/sflag
  • icon

    Testie
    el 22/4/17
    flag

    Hola a todos.

    Ayuda por favor con esto

    soy nueva en este foro y me han puesto un problema que me esta trayendo algo loca la verdad asi que porfavor ruego vuestra ayuda:

    En un test de 120 preguntas con 3 opciones posibles, siendosolo una verdadera y los errores no restan

    . ¿cuál sería el mínimo número de preguntas que deberia ponerse para acertar y correspondieran al  5 y asegurarme que se sabe con ello la mitad de la asignatura, y su nota no es debida al azar?

    Porque claro las 40 primeras preguntas pueden ser por el azar y no deberian por ello contar, pero tampoco 80 acertadas me asegura que se sepa la mitad del temario-

     Y reduciendolo a la unidad, si el examen fuera solo una pregunta  y una persona se sabe 2/3 del temario, (una parte de cada tema) . sacaria siempre un 10, pues o sabe las dos opciones erróneas y por ende coge la otra, o entre las dos opciones que sabe, esta la verdadera.

     

    Gracias a todos los que me ayuden por favor expliquen la fórmula y el razonamiento empleado de cara a aprender.

     

    replythumb_up0 voto/sflag
    icon

    David
    el 26/4/17

    El enunciado no tiene mucho sentido...
    Si los errores no restan, para sacar un 5 en un examen de 120 preguntas, hay que acertar 60 preguntas...

    thumb_up0 voto/sflag
  • icon

    Coke Verdejo
    el 22/4/17

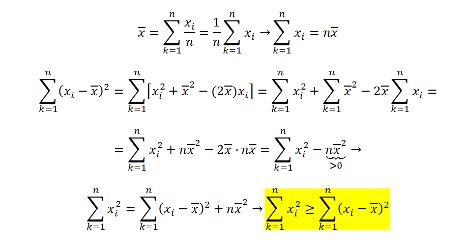
     Ayuda con ésto de sumatorias, lo mejor explicado por favor.

    replythumb_up0 voto/sflag
    icon

    Antonius Benedictus
    el 22/4/17


    thumb_up1 voto/sflag
    icon

    Coke Verdejo
    el 23/4/17

    Me podría explicar el último paso por favor (antes de lo amarillo), no entendí la sumatoria desde k=1 a n de (xi)^2 

    thumb_up0 voto/sflag
  • icon

    MDes
    el 22/4/17

    Una pregunta, si tenemos 2 rectas expresadas en su forma paramétrica, y el vector de una de ellas, digamos el vector director Vr (2,0,0). Cuando queremos buscar si son paralelas las dos rectas, y las pasamos en forma general, no podemos pasar por la forma contínua porque no existe? Porque nos daría que una forma sería por ejemplo (y-Py)/0.

    Y otra duda, si para saber si son proporcionales buscamos si los vectores son proporcionales y si uno de los puntos pertenece a la recta, para ver si son coincidentes o no, cuando hacemos A/A', B/B', C/C', si nos sale otra división entre cero, que hacemos?

    Gracias de antemano.

    replythumb_up0 voto/sflag
    icon

    Antonius Benedictus
    el 22/4/17

    Se pueden poner en forma continua, pues no se trata de efectuar una división, sino de establecer una proporción:

    (x-1)/2 =(y+5)/0   indica:

    0(x-1)/2 =y+5

    Esto es:

    y+5=0.

    thumb_up1 voto/sflag
    icon

    MDes
    el 22/4/17

    Entendido, muchas gracias!

    thumb_up0 voto/sflag
  • icon

    Zanubia Nufuri
    el 22/4/17

    Aqui va el otro!! muchas gracias nuevamente!



    replythumb_up0 voto/sflag
    icon

    Antonio
    el 22/4/17

    Como P(a,b) es un punto de la recta b=a2

    Sabemos que la pendiente de la recta tangente a la función f en el punto x=a  es de la forma m=f'=2x=2a y como pasa por el punto P dicha recta será de la forma:

    y-yo=m(x-xo)

    y-a2=2a(x-a) => y=2ax-a2

    Sabemos que además pasa por el punto (7,0) por lo que

    0=2a7-a=> 0=14a-a2=> 14a=a2=> a1=0 y a2=14 

    Con a=0 llegamos a un absurdo, pues la recta tangente además de cortar en el punto dado cortaría en todos los demás

    Con a=14 llegaremos a la solución, la cual es:

    a=14

    b=196

    thumb_up1 voto/sflag
  • icon

    Zanubia Nufuri
    el 22/4/17

    Hola les agradeceré mucho la ayuda en estos problemas:




    replythumb_up0 voto/sflag
    icon

    Antonio
    el 22/4/17

    Sabemos que la recta tangente a una curva en un punto tiene como pendiente: m=f' y además que m=tanθ

    por lo tanto:

    m=f'=3x2+1/x2

    tan 60º = √3

    por lo tanto

    3x2+1/x√3

    resolviendo esta ecuación

    vemos que no tiene solución en ℛ por lo tanto:

    No hay ningún punto que cumpla las condiciones del enunciado


    thumb_up1 voto/sflag
    icon

    Guillem De La Calle Vicente
    el 22/4/17


    thumb_up1 voto/sflag