Foro de preguntas y respuestas de Matemáticas

logo beUnicoos
Los foros de unicoos se han unificado en nuestra nueva plataforma beUnicoos. Para dejar nuevas preguntas deberás hacerlo allí, donde además podrás encontrar nuevas asignaturas y herramientas para ayudarte más con tus estudios.

  • icon

    Ana
    el 21/4/17


    replythumb_up0 voto/sflag
    icon

    Antonio
    el 21/4/17

    Dibuja el triángulo rectángulo con el ángulo recto en la base

    Bea esta enfrente del ángulo recto y la cometa en el vértice superior

    la hipotenusa será la cuerda y debes hallar uno de los catetos

    thumb_up0 voto/sflag
    icon

    Ana
    el 21/4/17

    ¿Cualquier cateto vale?

    thumb_up0 voto/sflag
    icon

    Antonio
    el 21/4/17

    Al pedirte la altura de la cometa será el cateto que va desde la cometa al suelo, es decir el vertical, o mejor dicho el opuesto al ángulo dado.

    thumb_up0 voto/sflag
    icon

    Ana
    el 21/4/17

    Gracias por aclararme la duda, Antonio.

    thumb_up0 voto/sflag
    icon

    Antonio
    el 21/4/17

    el otro cateto, es decir el horizontal, o mejor dicho el contiguo al ángulo dado, será la distancia que hay entre la vertical de la cometa y Bea y no se pide 

    thumb_up0 voto/sflag
  • icon

    Ana
    el 21/4/17


    replythumb_up0 voto/sflag
    icon

    Antonio
    el 21/4/17

    Dibuja el triángulo con el lado desigual como base, dibuja ahora su altura.

    quedan dos triángulos rectángulos, elegimos uno de ellos

    tenemos que un cateto es 7'4/2 = 3'7

    con el ángulo continuo a éste de 63º

    el otro cateto coincide con la altura del triángulo

    calculemos ahora la tangente a ese ángulo

    tangente 63º = cateto opuesto/cateto contiguo

    es decir,

    tan 63º = h/3'7

    despejando

    h = 3'7 · tan 63º = 7'26 m


    thumb_up0 voto/sflag
    icon

    Ana
    el 21/4/17

    ¡Muchísimas gracias, Antonio!

    thumb_up0 voto/sflag
  • icon

    Jimmy
    el 21/4/17

    Hola Unicoos, ayúdenme con este ejercicio por favor


    replythumb_up0 voto/sflag
    icon

    Antonius Benedictus
    el 21/4/17


    thumb_up0 voto/sflag
  • icon

    Sebastian Canaviiri
    el 21/4/17

    Hola me ayudan con este ? Gracias(:

    replythumb_up0 voto/sflag
    icon

    Antonius Benedictus
    el 21/4/17


    thumb_up1 voto/sflag
    icon

    Sebastian Canaviiri
    el 21/4/17

    Crack como siempre !gracias :)

    thumb_up0 voto/sflag
  • icon

    Elizabet
    el 21/4/17

    HOLA ME PIDEN  QUE HALLE EL RESTO DE DIVIDIR Q(X)= (8Λ17 + XΛ6) (XΛ7 - X)²  POR X+1

    (Λ ESTE SIMBOLO REPRESENTA ELEVADO A...)

    SI PUEDEN AYUDARME, GRACIAS

    replythumb_up0 voto/sflag
    icon

    Antonius Benedictus
    el 21/4/17

    Foto original, por favor.

    thumb_up0 voto/sflag
  • icon

    Gabriel
    el 21/4/17

    Hola otra vez. Esta vez no sé ni cómo empezar porque como el polinomio no tiene raíces reales, no puedo calcular la integral por fracciones parciales. y por susticución no sé cómo hacerlo...

    Muchas gracias.


    replythumb_up0 voto/sflag
    icon

    Antonius Benedictus
    el 21/4/17


    thumb_up0 voto/sflag
  • icon

    Gabriel
    el 21/4/17

    Hola chicos. No consigo calcular este límite. Primero me sale 0/0 y luego por H'lopital me da -∞. Lo tendría bien??


    replythumb_up0 voto/sflag
    icon

    Antonius Benedictus
    el 21/4/17


    thumb_up0 voto/sflag
  • Usuario eliminado
    el 21/4/17

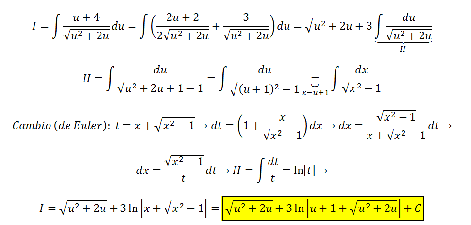
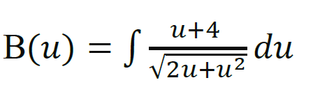
    Hola.¿pueden ayudarme con este problema usando el método de sustitución?Gracias.
    (Intenté hacerlo pero tuve usar dos veces ese método y se me complicó más. Además lo busqué en "Symbolab" y no entiendo)



    replythumb_up0 voto/sflag
    icon

    Antonius Benedictus
    el 21/4/17


    thumb_up1 voto/sflag

    Usuario eliminado
    el 22/4/17

    Gracias!. No conocía ese método(cambio de Euler) Busqué por internet y no hay mucha información de ese método.

    thumb_up0 voto/sflag
  • icon

    Guillem De La Calle Vicente
    el 21/4/17

    Tiene un cuaderno vacío con 96 hojas. Cada hoja está numerada en ambos lados, con los números de página que van de 1 a 192 (inclusivo).

    ¿Es posible extraer 25 hojas de tal manera que la suma de los números de página en estas hojas es exactamente 1990?

    replythumb_up0 voto/sflag

    Usuario eliminado
    el 22/4/17

    No; para que así fuera 1990+25 tendría que ser divisible por 4.


    thumb_up0 voto/sflag
    icon

    Guillem De La Calle Vicente
    el 23/4/17

    ¿Por qué debe 1990 + 25 ser divisible por 4? ¿Cuál es el razonamiento detrás de esto?

    thumb_up0 voto/sflag
  • icon

    :)
    el 21/4/17

    hola me ayudan  con el,ejercicio 16 se q beta es el determinante  como hqyo la inversa d beta x a

    replythumb_up0 voto/sflag
    icon

    Antonius Benedictus
    el 21/4/17


    thumb_up1 voto/sflag