f)___________________________________________________________
| (2/5 - 1)(-2/3) / (1/4 - 1)(1/4+1) |
| m.c.m(3,4,5)=3*22*5=60 |
| (24/60 - 60/60)(-40/60) / (15/60 - 60/60)(15/60 + 60/60) |
| (-36/60)(-40/60) / (-45/60)(75/60) |
| (1440/3600) / (-3375/3600) |
| (1440) / (-3375) |
| -480 / 1125 |
| -160 / 375 |
| -32 / 75 |
~~~~~~~~~~~~~~~~~~~~~~~~~~~~~~~~~~~~~~~~~

g) si pudiste hacer la "e" esta es parecida
hagamoslo por partes:
primero: → 3 + 1/4 = (12 + 1)/4 = 13/4
→luego: 1/(13/4) = 4/13
→ 2 + 4/13 = (26 + 4)/13 =30/13
→finalmente: 5 + 1/(30/13) = 5 + 13/30 = 163/30 = 5,4333...
f) igual que en el caso anterior primero agarremos a:
→ 2/5 - 1= (2 -5)/5 = -3/5
entonces en la parte de arriba nos quedara:
(-3/5)(-2/3)= 2/5 .....(1)
ahora la parte de abajo:
→1/4 - 1= (1 - 4)/4 = -3/4
→1/4 + 1 = 5/4
ahora desarrollandolo:
(-3/4)(5/4) =-15/16 ......(2)
NOTA: la parte baja tambien se puede expresar como diferencia de cuadrados
→finalmente:dividiremos (1)/(2)
(2/5)/(-15/16) = 32/-75 = -0.42666...
ESPERO HABERTE AYUDADO
Hola, me podrían con este ejercicio es sacar el desfase y los puntos por donde va a pasar esa nueva gráfica o puntos notables por los que pasa la gráfica![]()

Te sugiero.. Crecimiento y curvatura función trigonometrica 01
No tiene sentido preguntar el desfase en esa función...
hola me darian una mano con este ejercicio ya q no entiendo nada eran 3 asi de largo dos y tres barbarito este no entiendo ya nada igual aun sigo viendo e intentando hacer
1.a)
| 320 | 280 | 460 | 280 |
| 480 | 360 | 580 | 0 |
| 540 | 420 | 200 | 880 |
b) 3x4 (3 filas y 4 columnas)
c) Que se no se han fabricado altavoces del modelo D en la planta B (observa el valor cero)
d)320+280+460+280= 1340 altavoces (hemos sumado todos los valores de la fila 1)
e) Los altavoces fabricados del modelo D (280+0+880= 1160 altavoces)
I) Sumando todas las filas y columnas obtenemos:
En Mayo: 4800 altavoces
En Junio: 3710 altavoces
II) Consideramos Junio como la matríz B=(bi,j)3x4
El mes de JuLio será C= 1.1*B=(1,1 bij)
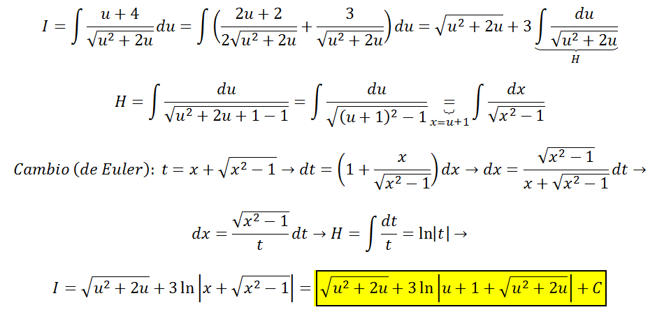
Hola.¿Podrían decirme si hay una fórmula o en que casos puedo usar el Método de cambio o sustitución de EULER para ejercicios de Cálculo integral?
Quisiera saber más sobre ese método pero en Internet no hay información de eso. Hace poco me ayudaron con un ejercicio usando método de sustitución y cambio de Euler.
Aquí la imagen.

Me encantaría ayudarte, pero no respondo dudas universitarias que no tengan que ver específicamente con los videos que ya he grabado como excepcion. O de otras asignaturas que no sean matemáticas, física y química. Lo siento de corazón… Espero lo entiendas
Ojalá algun unicoo universitario se anime a ayudarte (de hecho lo ideal es que todos los universitarios intentarais ayudaros los unos a los otros)
Tengo una duda con respecto a limites:
F(x) 2
√x+1
Cuando son de tipo f(x+h)-f(x)
h
f(x)= 2/√(x+1)
lim(h→0) [f(x+h)-f(x)] / h
lim(h→0-) [(2/√(x+h+1)-(2/√(x+1)] / h=
lim(h→0-) [(2/√(x+h+1)-(2/√(x+1)] * lim(h→0-) [1/h]=
[(2/√(x+1)-(2/√(x+1)] * [-∞]
lim(h→0-) [f(x+h)-f(x)] / h = - infinito
lim(h→0+) [(2/√x+h+1)-(2/√(x+1)] / h=
lim(h→0+) [(2/√(x+h+1)-(2/√(x+1)] * lim(h→0+) [1/h]
[(2/√(x+1)-(2/√(x+1)] * [+∞]
lim(h→0+) [f(x+h)-f(x)] / h = +infinito
NO TIENE LÍMITE, ES DIVERGENTE.