Desde un cierto punto del terreno se mira a lo alto de una montaña y la visual forma un ángulo de 50º con el suelo. Al alejarse 200 m de la montaña, la visual forma 35º con el suelo. Halla la altura, h, de la montaña.

Sabemos que un triangulo de los que se ven, el pequeño la tg 50 = h/x
En el triangulo grande tenemos que tg 35 = h/(200+x)
Si despejamos h tenemos que :
h=tg 50 * x
h=tg 35 * (200+x)
Si igualamos por h
tg 50 * x = tg 35 * (200 + x)
Si despejampos x
tg 50 * x - tg 35 * x = tg 35 x = 285m
el primer trianngulo era tg 50 = h/x, si sustituimos x
h = 339,53m

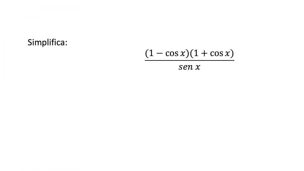
(1-cos x)(1+cos x)/(RC(1-cos^2 x)) = (1-cos x)(1+cos x)(RC(1-cos^2 x)/(1-cos x)(1+cos x) = RC(1-cos^2 x)
El paso del denominador se aplica que : sen^2 x + cos^2 x = 1 entonces sen x = RC(1-cos^2 x), despues racionalizamos y nos queda 1 - cos^2 x que es una identidad notable (1-cos x)(1+cos x) , quitamos los productos iguales y tenemos RC(1-cos^2 x)
Ayuda con esta ecuación exponencial:
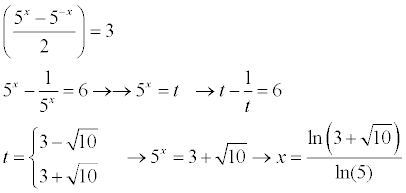
(5x-5-x)/2=3
(t)-(1/t)= 6
Pasamos a común denominador "t":
(t2/t)-(1/t)= (6t/t)
Eliminamos los denominadores:
t2-1= 6t
Obtenemos ecuación de 2º grado:
t2-6t-1=0
Resolvemos con la fórmula:
t1,2= [6 +/- √(36+4)]/2
Simplificamos:
t1,2=[6 +/- √40]/2 = [6 +/- √(22*10)]/2 = [6 +/- 2√(10)]/2 = 3+/- √10 -------------> t1= 3+√10 , t2=3-√10

Comienza por sustituir: tanx = senx/cosx, y la expresión queda:
y = 1/cosx - cosx - (senx/cosx)2*cosx, distribuyes la potencia y queda:
y = 1/cosx - cosx - (sen2x/cos2x)*cosx, simplificas en el tercer término y queda:
y = 1/cosx - cosx - sen2x/cosx, extraes denominador común y queda
y = (1 - cos2x - sen2x)/cosx, extraes factor común -1 en los dos últimos términos del agrupamiento y queda:
y = ( 1 - (cos2x + sen2x) )/cosx, sustituyes los términos remarcados según la identidad fundamental (también llamada pitagórica) y queda:
y = ( 1 - 1 )/cosx, resuelves en numerador y queda:
y = 0/cosx = 0.
Espero haberte ayudado.

Me encantaría ayudarte, pero no respondo dudas universitarias que no tengan que ver específicamente con los videos que ya he grabado como excepcion. O de otras asignaturas que no sean matemáticas, física y química. Lo siento de corazón… Espero lo entiendas
Ojalá algun unicoo universitario se anime a ayudarte (de hecho lo ideal es que todos los universitarios intentarais ayudaros los unos a los otros)
Último ejercicio,por favor se me dan fatal las matemáticas.
10-Halla la longitud de la cuerda que determina la elipse x al cuadrado+2y al cuadrado=6 con la recta 2x-y-3=0

Vamos con una orientación, y mira bien los vídeos que te recomienda el Colega Antonio.
Plantea el sistema de ecuaciones (observa que tienes dos ecuaciones con dos incógnitas):
x2 + 2y2 = 6
2x - y - 3 = 0, de aquí despejas: 2x - 3 = y (1),
luego sustituyes en la primera ecuación y queda
x2 + 2(2x - 3)2 = 6, desarrollas el binomio elevado al cuadrado y queda:
x2 + 2(4x2 - 12x + 9) = 6, distribuyes el segundo término y queda:
x2 + 8x2 - 24x + 18 = 6, haces pasaje de término, reduces términos semejantes y queda:
9x2 - 24x + 12 = 0, divides en todos los términos por tres y queda:
3x2 - 8x + 4 = 0, que es una ecuación polinómica cuadrática, aplicas la fórmula resolvente, y tienes dos opciones:
1) x = 2/3, reemplazas en la ecuación señalada (1) y tienes: y = 2(2/3) - 3 = 4/3 - 3 = - 5/3,
que corresponde al punto de coordenadas: P1(2/3,-5/3).
2) x = 2, reemplazas en la ecuación señalda (1) y tienes: y = 2(2) - 3 = 4 - 3 = 1,
que corresponde al punto de coordenadas: P2(2,1).
Luego, planteas que la longitud de la cuerda determinada por los dos puntos es igual a la distancia que los separa:
LC = d(P1,P2) = √( (2 - 2/3)2 + ( 1 - (-5/3) )2 ) = √( (4/3)2 + ( 8/3 )2 ) = √(16/9 + 64/9) = √(80/9).
Espero haberte ayudado.