Mañana tengo que entregarlo,ayuda por favor.
9-Calcula el centro,vértices, y focos de las siguientes hipérbolas:
a) 4x al cuadrado-3y al cuadrado-8x-8=0
b)5x al cuadrado-4y al cuadrado-20x-24y-36=0
Necesito ayuda con estos ejercicios para mañana.Gracias.
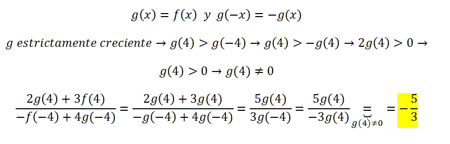
7-Los focos de una hipérbola son F(5,0);F'(-5,0) y la diferencia constante de las distancias de sus puntos a los focos es 6 .Halla la ecuación reducida y la excentricidad.

Tienes que la distancia entre los focos es igual a diez, por lo que planteas:
2c = 10, de donde despejas: c = 5.
Luego, tienes la diferencia constante de las distancias de uno de sus puntos a los focos, por lo que planteas:
2a = 6, de donde despejas: a = 3.
Luego, planteas la relación entre semiejes:
b = √(c2 - a2) = √(52 - 32) = √(25 - 9) = √((16) = 4.
Luego, como los focos pertenecen al eje OX, planteamos la ecuación canónica, con centro de simetría en el origen de coordenadas, que es el punto medio entre los focos:
x2/a2 - y2/b2 = 1, reemplazas valores y resuelves denominadores y queda:
x2/9 - y2/16 = 1.
Luego, su excentricidad queda:
e = c/a = 5/3.
Espero haberte ayudado.
¿Cuántas formas hay de sentar 500 niños en 1002 sillas puestas en línea de modo que no queden dos o más sentados consecutivamente?

Distinguimos dos tipos de secuencias: 1) con la primera silla ocupada, y 2) con la primera silla libre.
Luego, estudiamos cada opción por separado, y escribimos los números de orden de las sillas ocupadas y omitimos los de las sillas desocupadas.
1) 1 3 5 7 ... 997, 999,
y quedan tres sillas (1000, 1001 y 1002 en esta secuencia), para ubicar en los lugares libres (2, 4, 6, ..., 998, 1000) que son 500 en total y, como podemos ubicar más de una silla en un lugar libre, tenemos que la cantidad de posibilidades de elegir tres lugares, sin orden y con repetición, de un total de quinientos lugares libres es:
N1 = CR(500,3) = C(500+3-1,3) = C(502,3) = 502! / 3!*499!.
2) 2, 4, 6, 8, ... , 998, 1000,
y quedan dos sillas (1001 y 1002 en esta secuencia), para ubicar en los lugares libres (1, 3, 5, ... 999, 1001) que son 501 en total y, como podemos ubicar más de una silla en un lugar libre, tenemos que la cantidad de posibilidades de elegir dos lugares, sin orden y con repetición, de un total de quinientos un lugares libres es:
N2 = CR(501,2) = C(501+2-1,2) = C(502,2) = 502! / 2!*500!.
Luego, por el principio de adición, la cantidad de posibilidades de elegir quinientas sillas que serán ocupadas por los niños es:
N = N1 + N2.
Luego, para cada una de las elecciones que hemos hecho, debemos ordenar a los quinientos niños, por lo que tenemos que la cantidad de ordenamientos queda:
P = V(500,500) = 500! / (500-500)! = 500!/0! = 500!/1 = 500!.
Por último, y por el principio de multiplicación, tenemos que la cantidad de posibilidades de sentar a quinientos niños en 1002 sillas, sin que dos o más de ellos estén ubicados en sillas contiguas es:
M = N*P = (N1 + N2)*P, reemplazamos valores y queda:
M = (502! / 3!*499! + 502! / 2!*500!)*500!, distribuimos y simplificamos, y queda:
M = (502!*500 / 3! + 502! /2!), extraemos facor común y queda:
M = 502!*(500/3! + 1/2!!), resolvemos términos en el agrupamiento y queda:
M = 502!*(250/3 + 1/2), resolvemos el agrupamiento y queda:
M = 502!*503/6 = 503!/6.
Espero haberte ayudado.