hola podeis ayudarme conk este ejercicio:
dadas las rectas x=0 y=1+K, Z=-3+2k y s= x-1= y+1/-1= z/3 calcula la distancia entre ellas y obten la ecuacion de la recta perpendicular comun a ambas.
yo razonadolo he hecho el pruducto vectorial de RyS y como me da distinto de cero las rectas seran o paralelas o coincidentes y he sustituido un punto de r en s y la ecuacion es valida. Entonces las distancia seria nula, el problema esta en que en las soluciones da que las dos rectas se crunzan y no entiendo porque.
Si alguien me pudiera ayudar se lo agradeceria muchisimo pues tengo el examen mañana. Gracias

Me encantaría ayudarte, pero no respondo dudas universitarias que no tengan que ver específicamente con los videos que ya he grabado como excepcion. O de otras asignaturas que no sean matemáticas, física y química. Lo siento de corazón… Espero lo entiendas
Ojalá algun unicoo universitario se anime a ayudarte (de hecho lo ideal es que todos los universitarios intentarais ayudaros los unos a los otros)
Buenas, podrian echarme una mano con este ejercicio, no tengo claro como usar las propiedades. Debo hacer cambio de variable?
Gracias, le debo mucho al foro

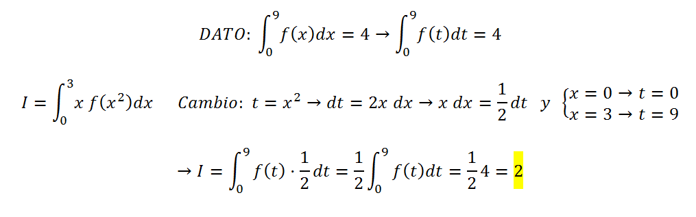
Claro haces el cambio
u=x^2 entonces du = 2xdx
De allí que xdx = du/2
Pero también cambian los límites de integración para la nueva variable
Siendo u=x^2 se reemplaza para x=0 y para x=3
Entonces u=0 y u=9
Reemplazando todo ello se obtiene
Integral (1/2)f(u)du , desde u=0 hasta u=9
Allí ya tienes todo para darle el toque final
¿Por qué x⁰=1?
Anoche mi primo estaba trabajando en un problema de álgebra en el que estaba
representando gráficamente ecuaciones exponenciales, y él preguntó qué
era 9⁰, y su padre y yo dijimos 1, luego preguntó por qué, pero ninguno
de nosotros podía dar una buena explicación.

Una explicación "sencilla":
Si entendemos la potenciación de exponente natural como la reiteración del producto:
x^3 = x·x·x (tres factores).
Entonces, x^1 sería un único factor=x
Y x^0 indicaría la ausencia de factores, esto es, la ausencia de operación.
En el caso de 3x=x+x+x, 0x indica "la ausencia de suma", y da 0 (el elemento neutro).
En la multiplicación, el elemento neutro es 1. Por ello:
x^0 =1.
También:
1=x^7/x^7=x^(7-7)=x^0
hola buenas tarde he empezado con las derivadas y hay unas que no se calcular:
a) f(x)= x (x-1)² b) f(x)= a (x-1)² c) f(x)= 7x²÷6x³+8x²
Si me hecharan una mano lo agradeceria soy un estudiante que despues de 12 años trabajando quiere intentar estudiar una ingenieria por mi propia cuenta.Se que es dificil y mas por que vengo de un modulo superior , pero tambien se que soy capaz y puedo conseguirlo.
Gracias por la ayuda.

En si esas derivadas no son complicadas pero dado que dejaste por mucho tiempo las mates debes empezar por ir repasando a la ves libros de precalculo . El primero lo puedes operar antes de derivar.
F(x)=x(x^2 - 2x + 1)
F(x)= x^3 - 2x^2 + x
Derivar eso es rápido .
F'(x)= 3x^2 - 4x + 1
Aunque quizá de pidan con la regla de la derivada de un producto , no está claro pero allí tienes una manera

a)
Plantea la pendiente: m = (6-3)/(-1-2) = 3/(-3) = -1, luego con las coordenadas de uno de los puntos, por ejemplo A(2,3), planteas la ecuación cartesiana: y - 3 = - 1*(x - 2).
b)
Luego, recuerda que la recta paralela tiene pendiente igual a la anterior, y con las coordenadas del punto C(-1,-1), planteas la ecuación cartesiana: y - (-1) = - 1*( x - (-1) ).
c)
Recuerda que la pendiente de la recta perpendicular es igual al opuesto del inverso multiplicativo de la pendiente, por lo que tienes: mP = - 1/(-1) = 1, y con las coordenadas del punto D(100,100) planteas la ecuación cartesiana: y - 100 = 1*(x - 100).
d)
Queda para que realices el gráfico conjunto, y que despejes y en las ecuaciones para obtener las ecuaciones cartesianas explícitas de las rectas.
Espero haberte ayudado.