hola me acabo de registrar y me sería muy útil si alguien me explica por qué el trabajo de la fuerza conservativa es igual al incremento negativo de la energía potencial. Muchas gracias
Hola me surgio una duda con este ejercicio (3)y no se me tranque ahi no se como seguir alguno tiene idea . Desde ya gracias

Pero son varios incisos
A) se multiplica arriba y abajo por 2 , ahora si x tiende a cero entonces 2x tiende a cero y tiene la forma del límite notable.
B) hay varias formas pero para usar ese límite notable puedes dividir arriba y abajo por x , luego separar por propiedades del límite , además esa tangente ponerlo como seno / coseno .
C) se pasa por identidades trigonométricas de suma ( o diferencia) a producto , obtienes el producto de un seno y un coseno , similar al anterior separas en este caso en un producto de límites , uno de ellos será del coseno y el otro de algo de la forma Sen(ax) / x que se resuelve como el inciso A

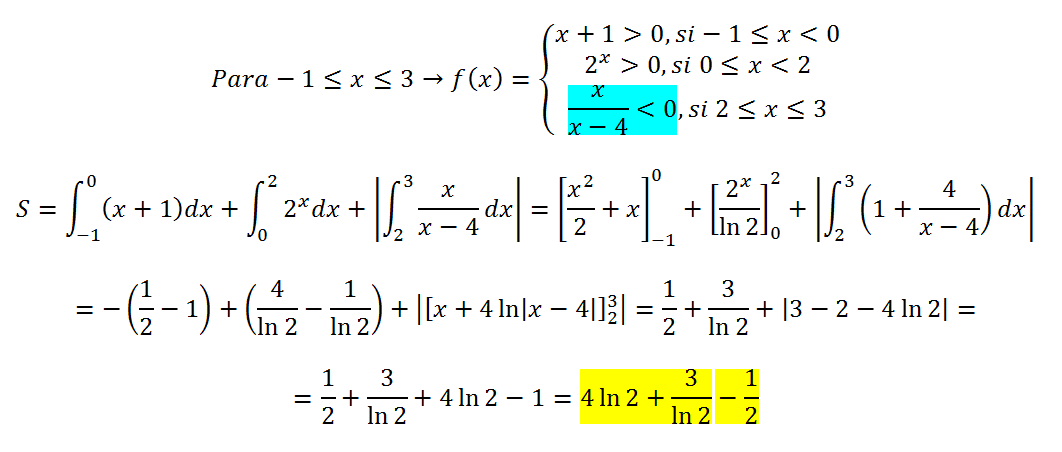
Observa que puedes tomar tres intervalos contiguos:
el primero; - 1 ≤ x < 0, que corresponde a la primera rama de la expresión de la función,
el segundo: 0 ≤ x < 2, que corresponde a la segunda rama de la expresión de la función,
el tercero: 2 ≤ x ≤ 3, que corresponde a la tercera rama de la expresión de la función.
Luego, calculas el área correspondiente a cada intervalo, y por último, sumas los resultados (observa que en las dos primeras ramas la función toma valores positivos, pero en la tercera rama toma valores negativos):
A1 = ∫ (x + 1) dx, para evaluar entre - 1 y 0;
A2 = ∫ 2x dx, para evaluar entre 0 y 2;
A3 = - ∫ x/(x-4) dx, para evaluar entre 2 y 3.
Queda que realices las integraciones, las evaluaciones y la suma de áreas.
Espero haberte ayudado.
por favor ayuda con un problema de movimiento.
Susana y juan corren el uno buscando al otro. Susana empieza la carrera desde su casa con una velocidad constante de 5m/s. y juan sale de la estación a 1km de la casa de Susana con una velocidad 4m/s.
que distancia de la casa de Susana se encontraran???
cuanto tiempo tardaran en reunirse???
urge pleaseSea t el tiempo que tardaran en reunirse desde que salen
Susana corre t segundos a 5 m/s con lo que recorre 5t metros
Juan corre t segundos a 4 m/s con lo que recorre 4t metros
Entre lo que recorre uno y el otro lo han recorrido todo
5t + 4t = 1000
resolvemos la ecuación
9t = 1000
t=1000/9 = 111.11 segundos
Susana recorre 555.55 metros
Juan recorre 444.44 metros
alguien me resuelve esta pregunta??
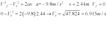
El récord mundial de
salto de altura vertical está en 2,44m. ¿Cuál debe ser la velocidad mínima del
saltador para sobrepasar dicha altura?

Puedes plantear las ecuaciones del Tiro Vertical, para lo que estableces un eje de posiciones (alturas) OY, perpendicular al suelo, con origen al nivel del suelo y sentido positivo hacia arriba.
Luego, tienes los datos iniciales: t0 = 0, y0 = 0, v0 = a determinar, a = - g = - 9,8 m/s2.
Luego, planteas las ecuaciones de movimiento:
y = 0 + v0*t - (1/2)*9,8*t2
v = v0 - 9,8*t.
Luego, tienes que la altura de la valla a sobrepasar es y = 2,44 m, para la que planteamos la condición de altura máxima alcanzada por el saltador: v = 0 (en ese instante termina de subir y está a punto de comenzar a descender), reemplazamos valores y queda:
2,44 = v0*t - 4,9*t2
0 = v0 - 9,8*t,
observa que tienes un sistema de dos ecuaciones con dos incógnitas (t: tiempo de ascenso, v0: velocidad inicial) que te dejo para que resuelvas.
Espero haberte ayudado.