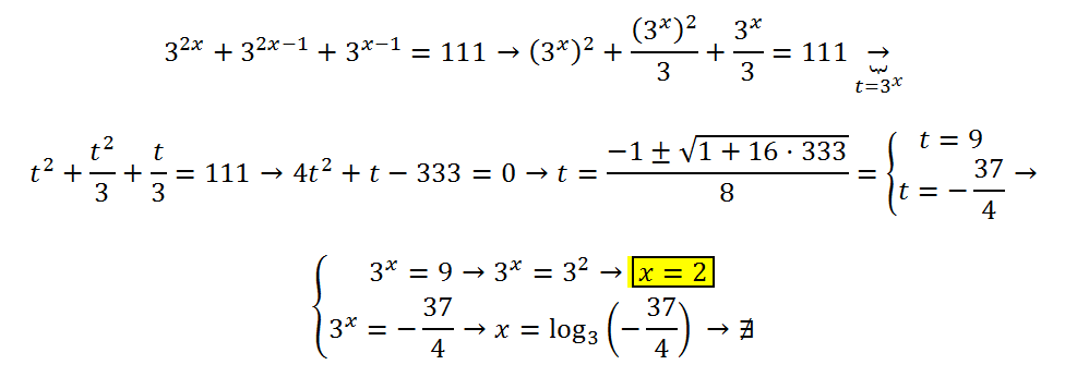
Hola, me podeis resolver esta ecuacion exponencial? Esque tengo un problema porque el 111 no se como simplificarlo para que se me vaya.
3^2x + 3^2x-1 + 3^x-1 = 111
Con todos los pasos porfa. Graciass

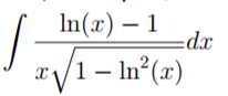
Puedes plantear la sustitución (cambio de variable):
w = lnx, de donde tienes: dw = (1/x)*dx,
luego sustituyes y la integral queda:
I = ∫ (w - 1)/√(1 - w2) dw, distribuyes el denominador, separas en términos y queda:
I = ∫ w/√(1 - w2) dw - ∫ 1/√(1 - w2) dw;
luego, observa que para la primera integral puedes plantear la sustitución: p = w2, y observa que la segunda integral es directa.
Espero haberte ayudado.

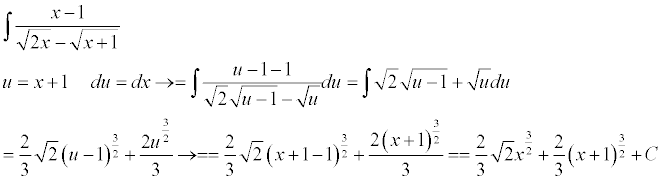
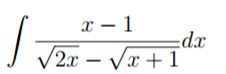
Prueba multiplicar al numerador y al denominador del argumento por el "conjugado" de éste último: ( √(2x) + √(x+1) ), y luego distribuye y opera solamente en el denominador, para luego simplificar.
Haz el intento de concluir la tarea, y si te resulta necesario, no dudes en volver a consultar.
Espero haberte ayudado.

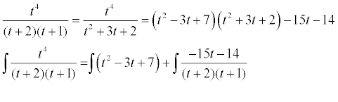
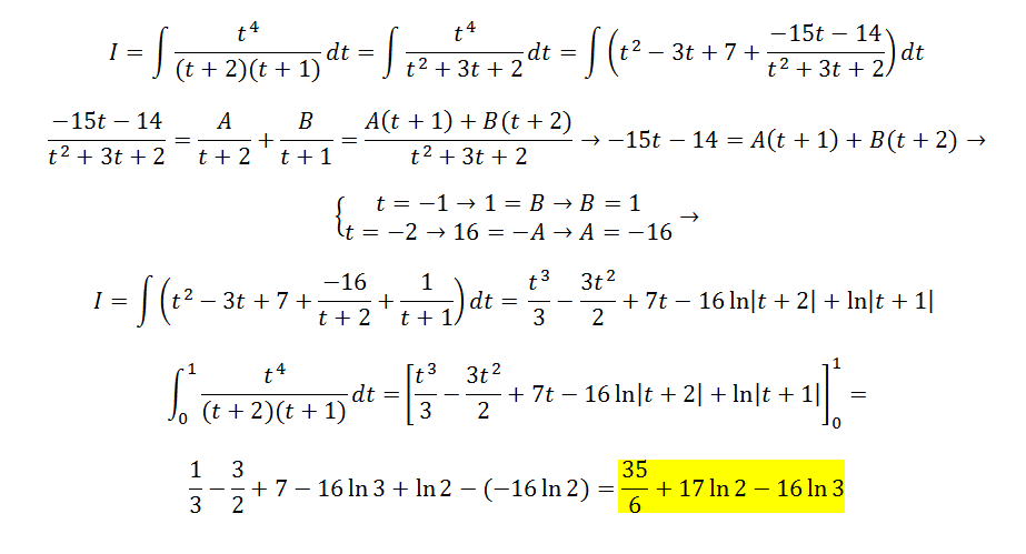
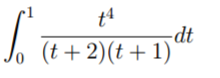
Vamos con orientaciones:
Observa que tienes una expresión algebraica fraccionaria de la forma N/D,. Luego, vamos por pasos.
1°) Divide al numerador (N = t4) por el denominador desarrollado (D = t2 + 3t + 2), y obtendrás un cociente (C) de grado dos, y un resto (R) de grado uno (te dejo la tarea).
2°) Plantea el Algoritmo de Euclides:
N = C*D + R, divides en todos los términos por el divisor (D), simplificas y queda:
N/D = C + R/D.
3°) Observa que queda para integrar en dos términos, el primero es el cociente, y el segundo es una expresión algebraica fraccionaria en la que el grado del numerador (R) es menor que el grado del denominador (D), y para integrarla debes aplicar el método de las fracciones simples (o parciales).
Haz la tarea, y si te resulta necesario, no dudes en volver a consultar.
Espero haberte ayudado.
Hola, como sería la respuesta a este problema? Calcula un número sabiendo que la suma de sus cifras es 14 y que si se invierte el orden en que están colocadas el número disminuye en 18 unidades. Se supone que la solución da 68 pero a mi no me da, tengo esto hecho, alguien puede decirme dónde está el error?
x= decenas y=unidades
x+y=14
10x+y-18=10y+x
x=14-y 10(14-y) +y-18 = 10y+x
140-10y+y-10y = 14+18-140
-10y +y +y -10y = 14+18-140
-18y=-108
y = 6 x = 8
Entonces el número sería 86 y no 68, ayudadme porfavor, gracias.

Llamas al número buscado: N = 10x + y, y al número con las cifras cambiadas de orden: P = 10y + x.
Luego, planteas:
x + y = 14
P = N - 18;
luego, sustituimos las expresiones P y N, y el sistema queda:
x + y = 14
(10y + x) = (10x + y) - 18;
luego, distribuimos agrupamientos, hacemos pasajes de términos, reducimos términos semejantes y queda:
x + y = 14
- 9x + 9y = - 18,
dividimos por - 9 en todos los términos de la segunda ecuación por - 9 y queda:
x + y = 14
x - y = 2,
luego, resuelves el sistema de ecuaciones (te dejo la tarea), y verás que la solución es: x = 8, y = 6;
y que el número pedido en el enunciado es:
N = 86, y el número que se obtiene al permutar sus cifras es: P = 68.
Espero haberte ayudado.
Me podrían ayudar con este problema, no lo entiendo bien: En siete saltos, la rana avanza tanto como el saltamontes en cinco. Si da seis saltos cada uno, el saltamontes habrá superado a la rana en 144 cm. ¿Cuánto avanza la rana en cada salto? ¿Y el saltamontes?
Gracias.
Hola, buenos dias...Tengo un ejercicio que por mas que lo intento no me sale. Es de limites, lo copio tal cual lo tengo en mi apunte lim x--- +oo (numerador) 4x - 4-x (denominador) 4x + 4-x
Desde ya agradezco y aguardo su respuesta, pues no se resolverlo. Saludos