SISTEMAS NO LINEALES
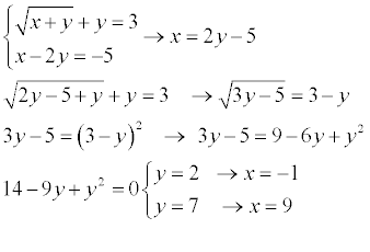
√X+Y + Y = 3
X - 2Y = -5
Tengo un examen mañana de sistemas lineales y no lineales y no había visto este problema. ¿Alguien sabe como se soluciona este sistema no lineal?
Graaaaciaaass!!!!

Tienes el sistema de ecuaciones:
√(x+y) + y = 3
x - 2y = - 5, de aquí despejas: x = 2y - 5 (1),
luego sustituyes la expresión señalada (1) en la segunda ecuación y queda:
√(2y - 5 +y) + y = 3, reduces términos semejantes en el argumento de la raíz, haces pasaje de término y queda:
√(3y - 5) = 3 - y, haces pasaje de potencia como raíz y queda:
3y - 5 = (3 - y)2, desarrollas el binomio elevado al cuadrado en el segundo miembro y queda:
3y - 5 = 9 - 6y + y2, haces pasajes de términos, reduces términos semejantes y queda:
- y2 + 9y - 14 = 0, multiplicas por - 1 en todos los términos de la ecuación y queda:
y2 - 9y + 14 = 0, que es una ecuación polinómica cuadrática, cuyas soluciones son:
a) y = 2, que al reemplazar en la ecuación señalada (1) conduce a: x = - 1, que se verifica en el sistema de ecuaciones del enunciado;
b) y = 7, que al reemplazar en la ecuación señalada (1) conduce a: x = 9, que no se verifica en el sistema de ecuaciones del enunciado.
Por lo tanto, concluimos que la solución del sistema de ecuaciones es: x = -1, y = 2.
Espero haberte ayudado.
Despejamos de la segunda ecuación:
x= 2y-5
Sustituimos en la primera:
√(2y-5+y)+y= 3
√(2y-5+y) = 3-y
[√(2y-5+y)]2 = (3-y)2
[√(2y-5+y)]2 = (3-y)2
2y-5+y = 9+y2-6y
y2-9y+14=0
Resolviendo la ecuación de 2º grado obtienes:
y1= 2 (al comprobar en el sistema original comprobamos que es una solución VERDADERA)
y2=7 (es una solución falsa)
x1-2y1= -5 -----> x1-2*2 = -5 -----> x1 = -5+4 ----> x1 = -1
Cómo demostraría el tema 2 ? por versor ? no comprendo, gracias, (aclaro: k1= al módulo de a y k2= al módulo de b) graciaaas !![]()

Vamos con una orientación.
1°) Puedes plantear el producto escalar: w•a = |w|*|a|*cosα, y desde allí despejar α, que es el la medida del ángulo determinado por los vectores a y w.
2°) Puedes plantear el producto escalar: w•b = |w|*|b|*cosβ, y desde allí despejar β, que es el la medida del ángulo determinado por los vectores a y w.
3°) Si tienes que α = β, has terminado tu ejercicio.
Espero haberte ayudado.
holaa, como resuelvo ?
- Hallar la proyección del vector S=( 4; -3; 2) sobre el eje que forma con los ejes coordenados ángulos agudos iguales .

Vamos con una orientación.
Observa que el vector que forma ángulos de igual medida con los ejes coordenados puede ser: u = < 1 , 1 , 1 >.
Luego planteamos el producto escalar:
s•u = |s|*|u|*cosθ, donde θ es el ángulo determinado por lo vectores s y u;
luego, hacemos pasaje de factor como divisor y queda:
s•u / |u| = |s|*cosθ, que es la proyección del vector s sobre el eje determinado por el vector u.
Solo queda que hagas los cálculos.
Espero haberte ayudado.
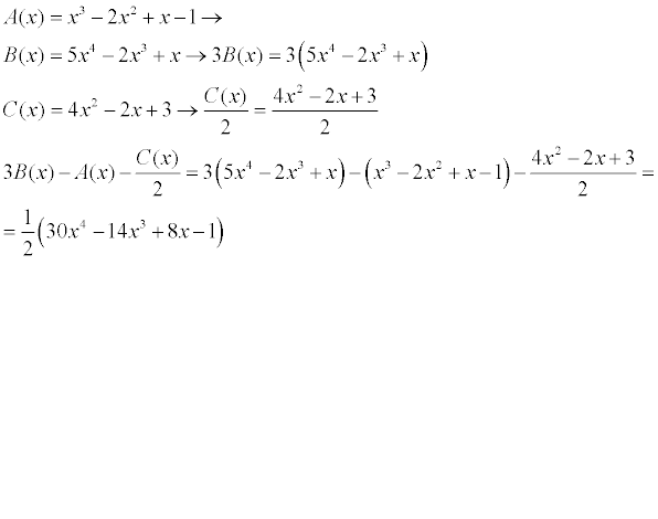
CON ESTOS DATOS COMO SE CALCULA LO SIQUIENTE
3B(X)-A(X)-C(X)/2
GRACIAS.
Hola, la solución sería la siguiente:
3•(5X4-2X3+X)-(X3-2X2+X-1)-(4X2-2X+3)/2
15X4-6X³+3X-X³+2X²-X+1+(-4X²+2X-3)/2
Ahora realizamos el mínimo común múltiplo:
(30X4-12X³+6X-2X³+4X²-2X+2-4X²+2X-3)/2
Tras esto simplificamos sumando y restando los múltiplos de las X de mismo exponente:
(30X4-14X³+6X-1)/2
También podríamos expresarlo como 15X4-7X³+3X-1/2
Si encuentras algún error avísame, la hice rápido y se me pudo escapar algo :)
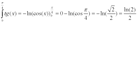
Hola, ¿es verdad que la funcion y=4x +sen 3x es creciente en R? ¿Por que?

Observa que la función es continua y derivable en el conjunto de los números reales.
Luego, plantea la expresión de su función derivada:
y ' = 4 + 3*cos(3x),
y observa que siempre toma valores positivos, ya que tienes:
- 1 ≤ cos(3x) ≤ 1,
multiplicas en los tres miembros de la doble inecuación por 3 (observa que no cambian las desigualdades) y qeuda:
- 3 ≤ 3*cos(3x) ≤ 3,
luego sumas 4 en los tres miembros de la doble inecuación y queda:
1 ≤ 4 + 3*cos(3x) ≤ 7,
luego sustituyes en el miembro central y queda:
1 ≤ y ' ≤ 7,
luego, concluyes que la función es estrictamente creciente, porque su función derivada toma valores estrictamente positivos,
en este caso comprendidos entre 1 inclusive y 7 inclusive.
Espero haberte ayudado.