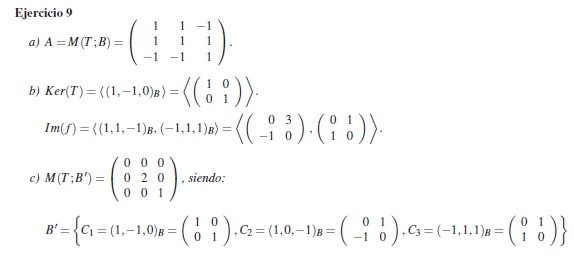
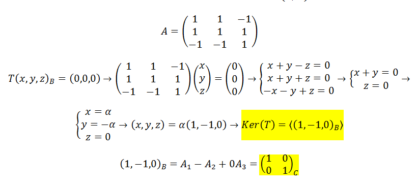
Hallar un punto P ubicado en la recta que pasa por M(1,2) y N(0,-1), de manera que la diferencia de sus distancias a los puntos A(4,1) y B(0,4) sea máxima.

Vamos con una orientación.
Llamemos P(x,y) al punto buscado.
Luego, tenemos que la recta que une los puntos M y N tiene ecuación: y = 3x - 1 (te dejo el planteo).
Luego, las coordenadas del punto quedan expresadas: P(x,3x-1).
Luego planteamos las distancias a los puntos A y B:
d1 = d(A,P) = √( (x-4)2 + (3x-1-1)2 ) = √( (x-4)2 + (3x-2)2 ) = √( x2 - 8x + 16 + 9x2 - 12x + 4 ) = √( 10x2 - 20x + 20 );
d2 = d(B,P) = √( (x-0)2 + (3x-1-4)2 ) = √( x2 + (3x-5)2 ) = √( x2 + 9x2 - 30x + 25 ) = √( 10x2 - 30x + 25 ).
Luego planteamos la diferencia entre las distancias (observa que tenemos dos casos):
a) la distancia desde el punto A hasta el punto P es mayor que la distancia desde el punto B al punto P:
d1 - d2 = f(x) = √( 10x2 - 20x + 20 ) - √( 10x2 - 30x + 25 );
b) la distancia desde el punto B hasta el punto P es mayor que la distancia desde el punto A al punto P:
d2 - d1 = g(x) = √( 10x2 - 30x + 25 ) - √( 10x2 - 20x + 20 ).
Luego queda que estudies los máximos de las dos funciones con los métodos que has visto en clase.
Haz el intento y, si te resulta necesario, no dudes en volver a consultar.
Espero haberte ayudado.
Hola!! ante todo muchas gracias por los vídeos, me están siendo muy útiles estudiando por la UNED. Me gustaría que, si es posible, subieras un vídeo de contraste de hipótesis para muestras pequeñas con la t-student; estoy estudiando econometría y no avanzo. Muchas gracias por todo.
Buenos días :
En la pregunta 1, no entiendo por qué la respuesta es la b, ya que es una proposición disyuntiva y negarse una de las premisas, se afirma la otra (modus tollendo ponens)
Hola! Estoy practicando con vuestros vídeos y he tenido problemas con la simplificación de una derivada que propusisteis en este video (https://www.youtube.com/watch?v=pz8yjIEL6jg&list=PLECDFCC48AD8F3247&index=5)
La derivada de f(x)=((3x^2+6x)/(x^3-4))^5 es f'(x)=5*((3x^2+6x)/(x^3-4))^4*((6x+6)(x^3-4)-(3x^2+6x)(3x^2))/(x^3-4)^2
Esto es lo que hice, pero no se si es correcta la simplificación o si se puede simplificar más.
Un saludo, gracias de antemano y enhorabuena por el trabajo que hacéis.
Hola, estoy tratando de resolver una derivada usando la definiciòn de funciòn y me trae de cabeza. Les describo la pregunta.
Sea f(x)= -x elevado a la 2 +3x
Usando la definiciòn, halla la derivada de f en x=2.
Halla la ecuaciòn de la recta t, tangente al gràfico de f en el punto de abscisa 2.
Luego representa en un mismo sistema de coordenadas al gràfico de f y la recta t.
Ayuda!!!