x4+3x3-3x2-11x-6
es posibles que un polinomio no se puede factorizar??
al factorizar un polinomio y nos da un cero como resultado, hay que seguir factorizando debajo del polinomio o empezar de nuevo ??
Hola que tal no sabia como resolver este problema.
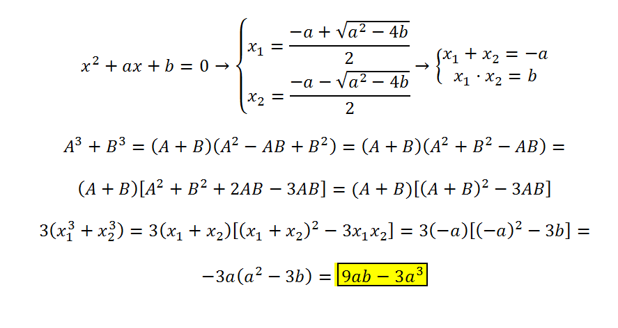
El triple de la suma de los cubos de los ceros de x^2 +ax+b es igual a:

Vamos con una orientación.
Aplicas la fórmula resolvente para los ceros de el polinomio cuadrático del enunciado y tienes:
x1 = ( - a + √(a2 - 4b) )/2,
x2 = ( - a - √(a2 - 4b) )/2.
Luego, planteas:
3*(X13 + X23) = factorizamos = 3*(x1 + x2)*(x12 - x1*x2 + x22), (1)
luego, solo queda que calcules los factores por separado y realices el producto señalado (1).
Observa que:
x1 + x2 = sustituyes, operas y queda = - a,
x1*x2 = sustituyes, operas y queda = b,
y queda para que desarrolles:
x12 + x22 = etc.
Espero haberte ayudado.
Alguien me ayuda, Dado el punto A (2,-3), las proyecciones del punto A sobre los ejes x e y son..?
hola buenas tardes, necesitaria una ayuda con este ejercicio, la serie an es sumatoria desde i=0 hasta n de la forma 1/i! ![]()
el ejercicio es el número 2 la primera parte, ademas quisiera saber donde puedo encontrar informacion sobre el tema, me podrian recomendar algun libro o pdf que pueda leer? desde ya gracias.
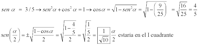
No consigo llegar a las soluciones [sen(α/2) = (3√10)/10 , cos(α/2) = (√10)/10 , tg(α/2) = 3 ] de este ejercicio;
" Si α es un ángulo del segundo cuadrante y sen α = 3/5, calcula las razones de α/2 " .
El sen(α/2) me resulta (√3/10) (fracción incluida dentro de la raíz).
Como el seno no me resulta como se indica en las soluciones del libro, y no encuentro otra manera, efectúo la duda.