
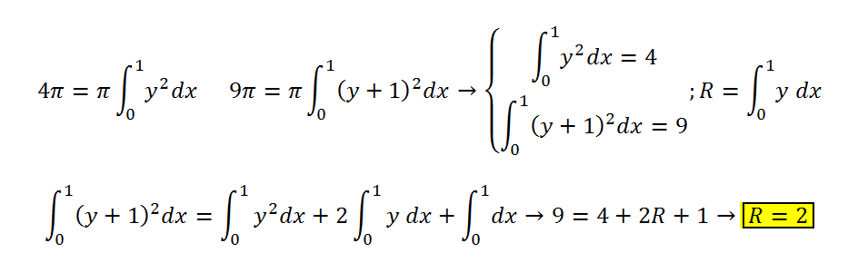
Observa que la frontera de la región plana es una elipse, cuya ecuación cartesiana es: x2/4 + y2 = 1;
luego, si despejas x, tienes dos opciones:
a) x = + 2*√(1 - y2) (mitad derecha de la curva),
b) x = - 2*√(1 - y2) (mitad izquierda de la curva).
Luego, puedes plantear el volumen pedido como la resta entre el volumen generado al rotar la mitad derecha menos el volumen generado al rotar la mitad izquierda de la elipse, alrededor de la recta de ecuación x = - 4 (revisa tus apuntes de clase para ver las expresiones de los volúmenes de revolución alrededor de ejes paralelos al eje de ordenadas OY):
V = Va - Vb,
luego, planteamos cada término por separado:
Va = π*∫ ( + 2*√(1 - y2) - (-4) )2*dy = π*∫ ( 2*√(1 - y2) + 4 )2*dy, para evaluar con Regla de Barrow entre y = -1 e y = 1,
Vb = π*∫ ( - 2*√(1 - y2) - (-4) )2*dy = π*∫ ( - 2*√(1 - y2) + 4 )2*dy, para evaluar con Regla de Barrow entre y = -1 e y = 1;
y observa que las dos integrales pueden resolverse por medio de la sustitución (cambio de variable) trigonométrica:
y = senw, con w para integrar entre - π/2 y + π/2.
Espero haberte ayudado.
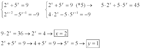
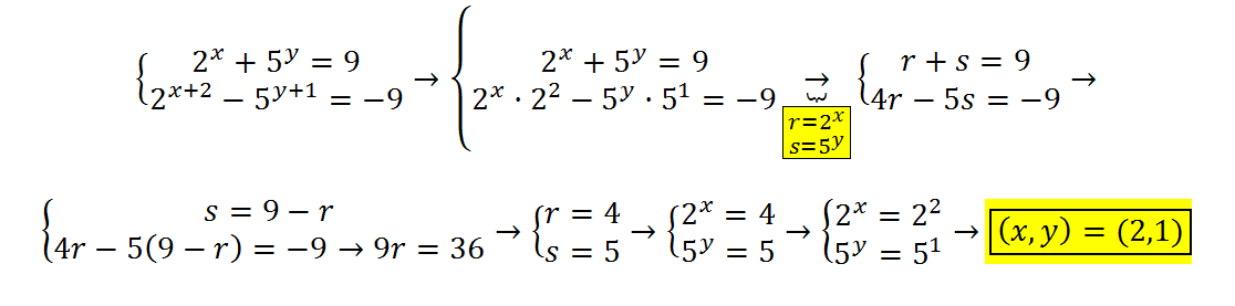
Determine el dominio de la función: h(x)= [Ln (x-3)/x] / Ln (x-1) . A mi me da (3, ∞), pero no estoy seguro. Gracias!
A mi también me da (3, ∞), porque:
Con Ln (x-3), al tener que ser la x>3 para que esté definido el Ln (que sea mayor que cero), descartamos (-inf,3] como "candidato" a dominio
Con la x de [Ln (x-3)/x descartamos el cero (ya estaba descartado)
Con Ln (x-1) descartamos [-inf, 1] (ya estaba descartado)
POR LO QUE EL DOMINIO ES (3,INF)