Encuentre ambos valores de catetos dados solamente tan (ángulo) e hipotenusa (Geometría Analítica)
Estoy desarrollando un juego y llegué a un problema que no podría resolver todavía. En un escenario dado, un oponente dispara a un objetivo en un entorno 2D. Al principio, todo lo que tengo es sólo la posición del enemigo (por ejemplo, (Ex, Ey)) y del jugador (Px, Py). Con esto puedo encontrar la tangente del ángulo que forma la línea con el eje X (digamos, ángulo alfa). Esta "bala" se mueve en la pantalla en 40 píxeles por cuadro, digamos ... En la lógica del juego, tengo que actualizar las X y Y (Bx, By) de la bala en cada trama en un valor dado basándose sólo en esos puntos Y el ángulo. En la imagen, la posición de la bala en cada fotograma está en rojo. Si tuviera el ángulo alfa entre la hipotenusa y el eje X sería muy fácil encontrar el Delta X, Delta Y que tengo que añadir en cada fotograma a (Bx, By). Pero yo no podía. ¿Cómo resolver este problema? Gracias por adelantado.
Aviso: el eje Y en las pantallas del ordenador crece en la dirección opuesta

Me encantaría ayudarte, pero no respondo dudas universitarias que no tengan que ver específicamente con los videos que ya he grabado como excepcion. O de otras asignaturas que no sean matemáticas, física y química. Lo siento de corazón… Espero lo entiendas
Ojalá algun unicoo universitario se anime a ayudarte (de hecho lo ideal es que todos los universitarios intentarais ayudaros los unos a los otros)
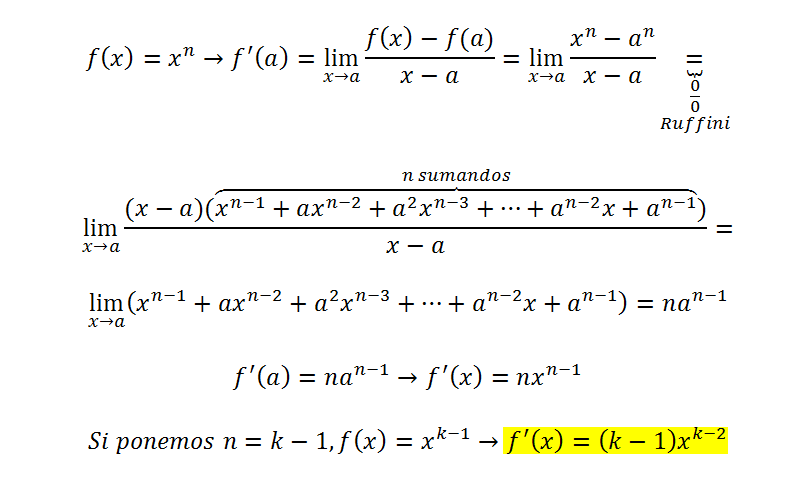
hola! me pueden ayudar diciendome como puedo derivar x^k-1 usando a definición de derivada
Hola buenas necesito saber por que al +3x de la ecuacion al final acaba siendo -3x para empezar a resolver el problema.
2x^2+3x=2
yo al pasar el 2 a la izquierda lo dejo asi y no me salen las cuentas.
2x^2+3x-2=0
Muchas gracias
Francisco, el objetivo de la ecuación es hallar el valor de x.
Vas bien con tu resolución:
2x^2+3x=2
2x^2+3x-2=0 <------- Ecuación de segundo grado
Solamente te queda aplicar la fórmula para resolver ec. de 2º grado:
![]()
x= {-3 +/- √[(-3)2-4*2*(-2)]}/2*2
x= (-3 +/-√25)/4
x1= (-3+5)/4 = 2/4= 1/2
x2= (-3-5)/4= -8/4= -2
Puedes ver que las soluciones de la ecuación son -2 y 1/2
A dónde pases los términos es indiferente, lo importante es dejar el 0 a un lado de la igualdad para que la ecuación te quede de forma que se pueda aplicar la fórmula.
De la otra manera puedes ver que también puedes hallar las x, pero lo habitual es amoldar la ecuación de forma que el factor con x2 esté en positivo, pero a efectos de obtener resultados de x es igual de efectivo.
2x^2+3x=2
0=-2x^2-3x+2
x={-*(-3) +/- √[(-3)2-4*-2*(2)]}/2*-2
x=(3+/-√25)/2*-2
x=(3+/- 5)/-4
x=-2
x=1/2
Las mismas soluciones que antes :)