Demuestra que si una elipse y una hipérbola tienen los mismos focos, entonces sus rectas tangentes en cada punto de intersección son perpendiculares.
Te pongo un ejercicio parecido, Antonio:
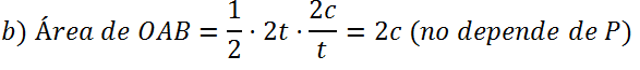
Se dibuja una recta tangente a la hipérbola xy=c en un punto p.
a) Demuestra que el punto medio del segmento de recta cortado de esta recta tangente por los ejes de coordenadas es P.
b) Demuestra que el triángulo formado por la recta tangente y los ejes de coordenadas siempre tienen la misma área, no importa dónde se encuentre P sobre la hipérbola.

A ver, Paula. Algunos de estos ejercicios no son de bachiller. Si te pido foto original del ejercicio en su contexto es para saber a qué atenerme y no estar dos horas dedicadas a una persona cuando puedo ayudar a otras 10, que se ajusten mejor al cometido de esta página, en ese tiempo. Gracias por tu comprensión.
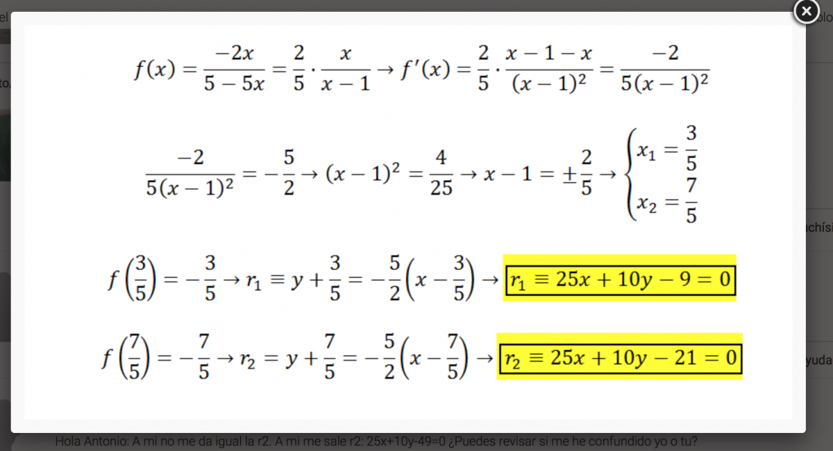
En este ejercicio que me ayudaste a resolver ayer, creo que en la r2 el f(7/5)=+7/5 y por lo tanto la r2 es 25x+10y-49=0 ¿Es correcto?
Buenas tardes, mañana tengo recuperación de ecuaciones de segundo grado completas y sigo sin entender nada, me he visto muchos vídeos este finde semana pero sigo sin comprender quería que me lo explicaran gracias.
Hola, como puedo calcular el valor de la primera derivada en un punto, a partir de la gráfica de la función, sin conocer cual es esa función. Es decir en la imagen que adjunto (no conozco su función), puedo sacar que f (-2)=2 o que f ' (0)= 0 por cambio Pero f ' (-2)= ¿?. ¿Cómo se obtiene ese valor? Se que es con la recta tangente pero no me sale.
