Foro de preguntas y respuestas de Matemáticas

logo beUnicoos
Los foros de unicoos se han unificado en nuestra nueva plataforma beUnicoos. Para dejar nuevas preguntas deberás hacerlo allí, donde además podrás encontrar nuevas asignaturas y herramientas para ayudarte más con tus estudios.

  • icon

    lbp_14
    el 2/4/17

    He sacado un 9,25 en el examen de geometría analítica y lugares geométricos. 

    Porque me resolvéis muy bien las dudas. GRACIAS! :D

    replythumb_up0 voto/sflag
    icon

    Ángel
    el 2/4/17

    Enhorabuena, lbp!

    A seguir trabajando y a por el 10, que sé que puedes :)

    thumb_up1 voto/sflag
  • icon

    Antonio
    el 2/4/17

    Hola, tengo que encontrar el error que se comete en [-1,1] sabiendo que |fn) (x)|<=  (C+n)/(1+|x|) siendo C  existe en R y n=0,1,2... en los nodos -1,0,1

    Eso del paso inicial de la constante, ¿como saco la función para calcular luego el máximo?

    replythumb_up0 voto/sflag
    icon

    Antonius Benedictus
    el 2/4/17

    Con foto del enunciado original lo vemos mejor.

    thumb_up0 voto/sflag
    icon

    Antonio
    el 2/4/17

     tengo que encontrar el error que se comete en [-1,1] sabiendo lo de la foto en los nodos -1,0,1

    Eso del paso inicial de la constante, ¿como saco la función para calcular luego el máximo?


    thumb_up0 voto/sflag
    icon

    Antonius Benedictus
    el 2/4/17

    A ver, Antonio, que hoy estoy un poco espeso. Ese enunciado está sintácticamente incompleto:

    Para....se conocen.... y se sabe que.....

    ¿Dónde está la pregunta?

    Pon foto del enunciado completo en su contexto. No consigo enterarme de lo que te piden. 

    thumb_up0 voto/sflag
    icon

    Antonio
    el 2/4/17

    No se que es lo que pasa que no me deja importar la imagen nueva. Hay que acotar  |f(x) - T (x)| para x =1/2 y para x existe en  [ 0.9, 0.8].

    thumb_up0 voto/sflag
  • icon

    Pilar
    el 2/4/17

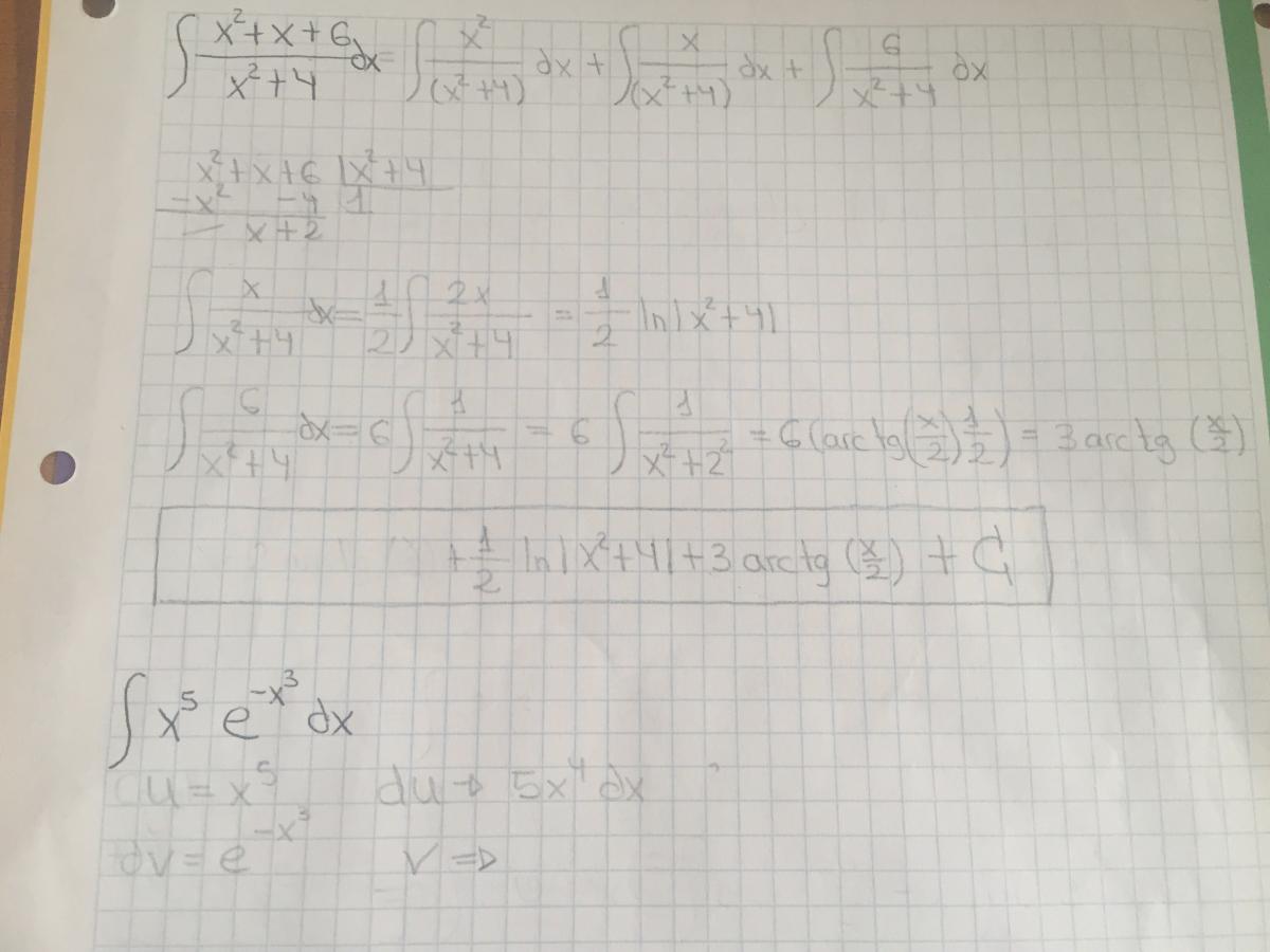
    Alguien me podría ayudar paso a paso a cómo resolver las siguientes integrales, me quedo enganchada en todas. Muchísimas gracias. 


    replythumb_up0 voto/sflag
    icon

    Guillem De La Calle Vicente
    el 2/4/17


    thumb_up0 voto/sflag
  • icon

    Sonia Ramis García
    el 2/4/17

    Pregunta sobre probabilidad ¿Cuál es la diferencia entre? P(A U B) y la u al revés. Podéis explicarmelo bien? LLevo mucho tiempo intentando descifrarlo.

    replythumb_up0 voto/sflag
    icon

    Antonius Benedictus
    el 2/4/17


    thumb_up1 voto/sflag
    icon

    Ángel
    el 2/4/17



    thumb_up1 voto/sflag
  • icon

    Ivan Celda Soler
    el 2/4/17

    Me dice el enunciado: Escribe las ecuaciones parametricas y la explicita de las rectas r, s y t.



    replythumb_up0 voto/sflag
    icon

    Guillem De La Calle Vicente
    el 2/4/17


    thumb_up0 voto/sflag
    icon

    Ivan Celda Soler
    el 2/4/17

    Porque en S la B es (3,3)?

    thumb_up0 voto/sflag
    icon

    Guillem De La Calle Vicente
    el 2/4/17

    Si te fijas cuando la x=3 veras que la y=3, precisamente la y siempre es 3 en la recta s.

    Saludos Ivan!

    Si te queda alguna duda, no dudes en preguntar de nuevo.


    thumb_up0 voto/sflag
  • icon

    alvaro blanco
    el 2/4/17

    Me podrían ayudar con esta derivada

    Gracias de antemano


    replythumb_up0 voto/sflag
    icon

    Antonius Benedictus
    el 2/4/17


    thumb_up1 voto/sflag
  • icon

    Javier Torrecilla
    el 2/4/17

    Me gustaría que me resolvieran este problema de geometría analítica en el plano:

    Dos depósitos de combustible están situados en los puntos M(0,4) y N(3,0). Se quiere construir una estación de distribución que esté a la misma distancia de M y de N y a 10 km de una tubería recta que une M y N. ¿Cuál es el lugar adecuado para situar la estación?

    replythumb_up0 voto/sflag
    icon

    Guillem De La Calle Vicente
    el 2/4/17


    thumb_up2 voto/sflag
    icon

    Guillem De La Calle Vicente
    el 2/4/17


    thumb_up2 voto/sflag
    icon

    Guillem De La Calle Vicente
    el 2/4/17

    Nos da distinto todavía, Antonio. Un punto


    thumb_up0 voto/sflag
    icon

    Antonius Benedictus
    el 2/4/17

    Ahora, ¡cunnus!


    thumb_up0 voto/sflag
    icon

    Javier Torrecilla
    el 2/4/17

    Muchas gracias Guillem y Antonio! 

    Solo me queda una duda: ¿por qué se obtienen dos rectas diferentes a partir de la ecuación punto-recta?

    thumb_up0 voto/sflag
  • icon

    Sonia Ramis García
    el 2/4/17

    Pongo aquí cómo resuelvo el ejercicio. Por favor, decidme si está correcto.

    a) P (A U R) = 0,6 * 0,9 = 0,54. La probabilidad es 54%.

    b) P (aqui no se cómo indicarlo matematicamente, ayuda?) = 0,6 * 0,9 + 0.3 * 0.20 + 0.1 * 0,06 = 0.60 . La probabilidad es 60%.

    c) P (B | R ) = (0,3 * 0,20) / 0,60 = 0,10. La probabilidad es 10%.

    replythumb_up0 voto/sflag
    icon

    Antonius Benedictus
    el 2/4/17


    thumb_up1 voto/sflag
  • icon

    Jose luis Padilla
    el 2/4/17

    Me ayudan con este ejercicio por favor.

    replythumb_up0 voto/sflag
    icon

    Guillem De La Calle Vicente
    el 2/4/17


    thumb_up2 voto/sflag
    icon

    Jose luis Padilla
    el 3/4/17

    Te lo agradezco.

    thumb_up0 voto/sflag
  • icon

    ana
    el 2/4/17

    Me podeís decir como se hace el nº 2 .Muchas gracias vuestra ayuda me sirve para mucho tengo de media en esta evaluación un 8.

    e podeis decir como se hace el nº 2. Gracias , vuestra ayuda me sirve mucho , en el ultimo examen saque un 8,4

    replythumb_up0 voto/sflag
    icon

    Antonius Benedictus
    el 2/4/17

    Termina las operaciones, Ana:


    thumb_up0 voto/sflag