Foro de preguntas y respuestas de Matemáticas

logo beUnicoos
Los foros de unicoos se han unificado en nuestra nueva plataforma beUnicoos. Para dejar nuevas preguntas deberás hacerlo allí, donde además podrás encontrar nuevas asignaturas y herramientas para ayudarte más con tus estudios.

  • icon

    Romina
    el 1/4/17

    Hola tengo una pregunta tengo que sacar ángulos ocultos aquí está una foto es la ,3 pero es que tengo problemas en hacer el ejercicio , porfa me ayudan


    replythumb_up0 voto/sflag
    icon

    Guillem De La Calle Vicente
    el 1/4/17


    thumb_up1 voto/sflag
  • icon

    Luján Guimpelevich
    el 1/4/17

    Hola, tengo un problema que dice: "tres términos forman una progresión aritmética de diferencia 11. Al primero se le resta 6, al segundo se le resta 1 y al tercero se lo multiplica por 2. Se obtienen así tres números que forman una progresión geométrica. Determinar los tres números originales. Dar todas las posibilidades"Logré resolverlo realizando tres ecuaciones: x-6 ; x+11-1 ; x+22.2 reemplazando la incógnita por todos los números hasta llegar al resultado, me dió correcto con el número 14, pero debería haber una forma más fácil y rápida de resolverla. Ya que debo dar más posibilidades. Necesito ayuda por favor!

    replythumb_up0 voto/sflag
    icon

    Antonius Benedictus
    el 1/4/17


    thumb_up0 voto/sflag
  • icon

    Guillem De La Calle Vicente
    el 1/4/17

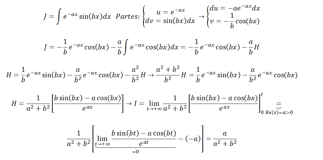
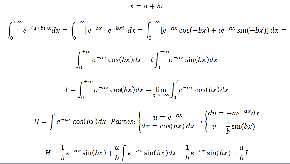
    convergencia de la integral-condición

    Tenemos s ∈ C{\displaystyle \scriptstyle \mathbb {C} }\scriptstyle {\mathbb  {C}}. Consideramos la integral


    Leí que tenemos


    y esta integral converge si Re(s)>0.

    Mi pregunta es ¿por qué y cómo encontramos la condición de s de la convergencia de esta integral? Por favor.




    replythumb_up0 voto/sflag
    icon

    Antonius Benedictus
    el 1/4/17



    thumb_up0 voto/sflag
    icon

    Antonius Benedictus
    el 1/4/17

    Para a=0 queda un límite inexistente  y  para a<0 el límite es +inf.

    thumb_up0 voto/sflag
    icon

    Guillem De La Calle Vicente
    el 1/4/17

    Antonio creo que es perfecto pero un poco demasiado largo. Mi respuesta es:

    porque si ponemos x=x+iy,    x,y ∈ R, después

    e-bs = e-bx-biy → |e-bs|=e-bx

    thumb_up1 voto/sflag
    icon

    Antonius Benedictus
    el 1/4/17

    Vale, había pensado ponértelo así, pero me lucía más todo el proceso.

    thumb_up0 voto/sflag
    icon

    Guillem De La Calle Vicente
    el 1/4/17

    Me gusta más tu respuesta, Antonio!!


    thumb_up1 voto/sflag
  • icon

    Diego
    el 1/4/17
    flag

    ¿Me pueden ayudar con este ejercicio? Gracias de antemano

    replythumb_up0 voto/sflag
    icon

    Antonius Benedictus
    el 1/4/17


    thumb_up1 voto/sflag
  • icon

    sandra rubio
    el 1/4/17

    Hola me pueden ayudar con este ejercicio gracias.


    replythumb_up0 voto/sflag
    icon

    Ángel
    el 1/4/17


    thumb_up0 voto/sflag
  • icon

    Paula
    el 1/4/17

    Para la siguiente función dibuja su gráfica,calcula su dominio y rango. Estudia un punto donde la función sea continua y otro donde sea discontinua: 




    replythumb_up0 voto/sflag
    icon

    Antonius Benedictus
    el 1/4/17


    thumb_up0 voto/sflag
  • icon

    Paula
    el 1/4/17

    Halla el dominio de la función:


    replythumb_up0 voto/sflag
    icon

    Antonio
    el 1/4/17

    el primer trozo hace todo el recorrido para x<0

    Es 


    thumb_up0 voto/sflag
    icon

    Antonius Benedictus
    el 1/4/17

    ¡Ojo! En x=-3 no existe.

    thumb_up0 voto/sflag
    icon

    Antonio
    el 1/4/17

    Gracias Antonio,

    estaba calculando el recorrido y no el dominio. 

    thumb_up0 voto/sflag
  • icon

    Sergio
    el 1/4/17

    Como se resolvería la ecuación 5x^2 + x + 1 = 0 en Z/7?

    replythumb_up0 voto/sflag
    icon

    Antonius Benedictus
    el 1/4/17


    thumb_up0 voto/sflag
    icon

    Sergio
    el 1/4/17

    Como has sacado el 6+- 2 / 3 i 6+-4 / 3?

    thumb_up0 voto/sflag
    icon

    Antonius Benedictus
    el 1/4/17

    Buscando en la tabla de multiplicar:

    x/y =z  significa x=yz

    thumb_up0 voto/sflag
  • icon

    María
    el 1/4/17

    Escribe la expresión de la función logarítmica que es la inversa de la exponencial de la gráfica.



    replythumb_up0 voto/sflag
    icon

    Antonio
    el 1/4/17

    f(x) = 3x

    thumb_up0 voto/sflag
    icon

    María
    el 1/4/17

    ¿Cómo lo sabes?

    thumb_up0 voto/sflag
    icon

    Antonio
    el 1/4/17

    Es una función exponencial, es decir, un número elevado a x, muy parecida a ex

    pasa por (0,1)

    y al pasar por (1,3) el numero debe ser 3

    thumb_up0 voto/sflag
    icon

    María
    el 1/4/17

    Muchas gracias, Antonio.

    thumb_up0 voto/sflag
  • icon

    María
    el 1/4/17

    Escribe la expresión algebraica de la función de la gráfica.


    replythumb_up0 voto/sflag
    icon

    Antonio
    el 1/4/17

    f(x) = 2/x

    thumb_up0 voto/sflag
    icon

    María
    el 1/4/17

    ¿Cómo lo sabes?

    thumb_up0 voto/sflag
    icon

    Antonio
    el 1/4/17

    Al tener una asíntota en x=0 debe ser una función racional cuyo denominador se anule en x=0,

    por otro lado pasa por el punto (2,1)

    thumb_up0 voto/sflag
    icon

    María
    el 1/4/17

    No lo entiendo muy bien, lo siento.

    thumb_up0 voto/sflag
    icon

    Antonio
    el 1/4/17

    Las  asíntotas verticales aparecen cuando el denominador se anula y no lo hace el numerador.

    Por lo tanto, la función en este ejercicio debe ser una función racional cuyo denominador es x

    thumb_up0 voto/sflag
    icon

    María
    el 1/4/17

    Muchas gracias, Antonio.

    thumb_up0 voto/sflag