Hola, en el supuesto caso de tener una matriz cuadrada 3x3 a resolver el determinante y todos su valores son el número uno: por las propiedades de los determinantes su rango no puede ser 3, ni 2, su rango sería 1? Es un ejercicio de sistemas por lo que si sale SCI o SCD después solo tendría que resolver sobre la ecuación restante verdad?
La continuidad de una función (en un análisis de función) es parecido al dominio diferenciándose de que en la continuidad se coloca todo en paréntesis y en la continuidad se determina todos los tramos aunque en sus saltos los tramos se solapen?

Cuando en una función vas a estudiar la continuidad, en lo primero que te debes fijar en el dominio. El dominio te va a decir en que puntos la función tiene problema de existencias (no existe). Ya a partir del dominio estudias los puntos problemáticos de la funcion (puntos que no pertenecen al dominio de la función). A partir del estudio, se clasifica cada uno segun el tipo de discontinuidad que sea: evitable, o inevitable de salto infinito o inevitable de salto finito. Espero haberte ayudado y saludos! :D
Determinar los ocho vértices de un cubo si uno de sus lados está contenido en la recta r1, y la recta r2 pasa por su centro geométrico y sobre dos de sus vértices.
r1: x+12 = 8y+8 = 2z
r2: x-19 = -y-14 = 11z-22
Hola, a todos!
Tengo una pregunta urgente sobre la distribución de Poisson. Mañana tengo un examen y no entiendo como resolver el siguiente problema:
La probabilidad de que se produzca la muerte de un conductor es de 0,02% cada vez que el o ella conduce un coche.
a) Utiliza la aproximación de Poisson a la distribución binomial para encontratar la probabilidad que un conductor puede conducir un coche 10 veces al año y sobrevivir.
En inglés el problema es el siguiente:
Road safety figures for a large city show that any driver has a 0:02% chance of being killed each
time he or she drives a car.
a Use the Poisson approximation to the binomial distribution to find the probability that a driver
can use a car 10 times a week for a year and survive.
Muchas gracias!!!
Hola!! unicoos. Pido de favor ayuda algo urgente..
Me aflige este tema de números complejos, me confundo con mucha frecuencia. Necesito que alguien me guie en este ejercicio de la imagen, para obtener la respuesta.
Muchisisimas gracias de antemano.

Hola, yo estudio matematicas en inglés.
Puedo intentar explicarte lo que yo haría ( no sé si es correcto pero es lo que yo intentaría) usando algunos terminos en inglés si no te importa..
Esta es una sequencia geométrica. Por lo tanto si divides cada "term ( u1, u2, u3 ... uz) " por el anterior obtienes "the common ratio (r) ".
Es decir, si divides x^2-x^3 por 1- x obtienes x^2
( Recuerda que puedes simplificar x^2-x^3 = x^2 (1-x) )
Utiliza la formula de la sequencia geometrica para encontrar el valor de x.
Por exemplo, sabes que la suma de los 2 primeros terminos (S2) es
1-x + x^2-x^3 =
-x^3+x^2-x+1
Por lo tanto introduciendo el valor que hemos encontrado para el common ratio (r) en la suma y poniendolo igual a esto que acabamos de encontrar obtenemos lo siguiente:
-x3+x2-x+1 = ( (1-x) ( (x2)2 -1) ) / ( x2-1) )
Si simplificas esto obtienes el valor de x.
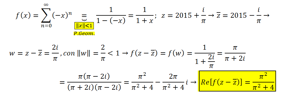
Después, te dicen que la suma de la sequencia geométrica es 2015+ i/ pi
Toma la formula de la suma para la sequencia geométrica, teniendo en consideración que el primer termino (u1) es 1-x, que (r) es x^2 , que el resultado de la suma es 2015 + i/pi y utiliza z como variable.
Sustituye cada x con el valor que has obtenido justo antes y encuentra la z. Todo aquello que lleve una i sera la parte imaginaria!
Suerte!
Alguien puede ayudarme? Me está pasando en todos los ejercicios parecidos; me sale la solución igual pero con el signo contrario😥😥 y no sé donde me como el signo. Un saludo y muchísimas gracias☺☺
Hola,
No te preocupes, creo que lo tienes bien. No te sale el mismo signo debido a donde situas la x. ( si multiplicas el denominador y el numerador por -1, obtienes lo mismo simplemente en diferentes posiciones ! :) )
A mi también me salió lo mismo que a ti cuando lo hize. Puse una imagen del resultado que sale cuando escribes la equación en el sitio web:
http://www.derivative-calculator.net
Si quieres ver todos los pasos copia y pega lo siguiente: (1/2)ln((1-(x)^(1/2))/((1+(x)^(1/2))
De esta forma:
Espero que te haya sido de ayuda!
Buena suerte !