Foro de preguntas y respuestas de Matemáticas

logo beUnicoos
Los foros de unicoos se han unificado en nuestra nueva plataforma beUnicoos. Para dejar nuevas preguntas deberás hacerlo allí, donde además podrás encontrar nuevas asignaturas y herramientas para ayudarte más con tus estudios.

  • Usuario eliminado
    el 23/3/17

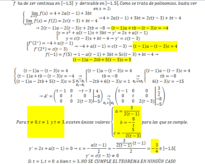
    Buenas! Ayuda! Gracias!

    replythumb_up0 voto/sflag
    icon

    Antonius Benedictus
    el 23/3/17


    thumb_up1 voto/sflag
  • icon

    Tere On
    el 23/3/17

    Buenas! estoy atrancada con la construccion de funciones para optimizarlas... pongo aqui el ejercicio, es que no se por donde pillarlo y el temario de la junta de andalucia da pena, gracias a vosotros me estoy sacando el bachiller que si por la junta fuera nos daban por culo, que llevan años sin actualizar, bueno que me salgo del tema, a ver si podiais echarme una mano a comprender como hacer estos ejercicios, ya no solo a resolver este (uno parecido me resolvio mi profesor y me cambian algo y ya no se hacerlo). Muchas gracias!!

    "3. Hacemos una campaña de publicidad anunciando que, con 1000 abonados o menos al servicio de conexión a internet, la cuota mensual será de 50 € y, si se sobrepasa esa cifra, por cada abonado adicional, la cuota se rebaja en 2 céntimos. ¿Cuál será el número máximo de abonados para obtener el máximo beneficio?"

    replythumb_up0 voto/sflag
    icon

    Antonius Benedictus
    el 23/3/17


    thumb_up1 voto/sflag
    icon

    Tere On
    el 30/3/17

    La verdad es que sigo sin saber hacerlo, me ha resuelto el ejercicio pero es que ni entiendo como.. poco didáctica esta respuesta. "Denle un pez y comerá un dia, enseñele a pescar y comerá todos los dias" Gracias por su tiempo

    thumb_up0 voto/sflag
  • icon

    DAVID CALO BARRERA
    el 23/3/17

    ¡Hola! No sé cómo se hace la pregunta c. ¿Ayuda?

    replythumb_up0 voto/sflag
    icon

    Antonius Benedictus
    el 23/3/17


    thumb_up2 voto/sflag
  • icon

    Murkrow bird
    el 23/3/17

    Buenos días, estoy con unos ejercicios de límites de sucesiones y no entiendo por qué en este el límite da infinito (según la solución del profesor)

    lim (n10-  n8-  n6)

    n-->infinito

    ¿No se podría considerar como una indeterminación infinito - infinito y entonces dividir todo por el término de mayor grado?

    Muchas gracias

    replythumb_up0 voto/sflag
    icon

    Antonius Benedictus
    el 23/3/17

    Es, evidentemente, una indeterminación. Pero se disuelve en un tristrás:


    thumb_up2 voto/sflag
  • icon

    Sonia Ramis García
    el 23/3/17

    Buenos días!

    Ayuda con este ejercicio? me han salido números muy raros en la resolución.

    replythumb_up0 voto/sflag
    icon

    Antonius Benedictus
    el 23/3/17


    thumb_up2 voto/sflag
  • icon

    Toby
    el 23/3/17

    Hola pueden decirme si las afirmaciones son correctas o no . a mi parecer todas son falsas,


    replythumb_up0 voto/sflag
    icon

    Antonius Benedictus
    el 23/3/17

    A mí, también, Toby.

    thumb_up0 voto/sflag
  • icon

    Andres Valenzuela
    el 23/3/17

    Hola unicoos pueden colaborarme en un problema de cuerpos geométricos.

    Un cilindro circular recto y un cono circular recto tienen a r como el radio de sus bases y ambos cuerpos tienen el mismo volumen, entonces la relación entre la altura del cilindro y la altura del cono circular recto es....     

    Ayuda aquí y muchas gracias

    replythumb_up0 voto/sflag
    icon

    Antonius Benedictus
    el 23/3/17


    thumb_up1 voto/sflag
  • icon

    Sandy Murillo S...
    el 23/3/17

    Hola otra vez, perdón pero ahora si quiero me ayuden con la resolución de un problema , referente a Sistema de Ecuaciones Lineales (S.E.L).  NO sabría llegar a la alternativa correcta.


                                        Gracias de antemano. Saludos


    replythumb_up0 voto/sflag
    icon

    Antonius Benedictus
    el 23/3/17


    thumb_up1 voto/sflag
  • icon

    Sandy Murillo S...
    el 23/3/17

    HOla únicos - os necesito

    Quiero saber si me he equivocado en la grafica. (Se supone que la onda tiene una amplitud de 2, como hay coseno, se supone que la grafica corta en y=2 , y al haber un +2 fuera del argumento del coseno, se desplaza dos unidades hacia arriba cortando en y=4 , con un periodo de 4 π).



    replythumb_up0 voto/sflag
    icon

    Antonius Benedictus
    el 23/3/17

    La a), Sandy

    thumb_up0 voto/sflag
  • icon

    Deidara Stick.
    el 23/3/17

    Hola nuevamente amigos de unicoos. Podrían nuevamente ayudarme, se trata de identificar el literal correcto. _ Funciones de variable real _

    Creo que es la alternativa a.) la respuesta, pero si me he confundido díganme de favor cual es la correcta.


    Creo que Función de variable real quiere decir que, el conjunto de dominio son todos los reales R.   Es correcto lo que he definido??                           Nuevamente gracias


    replythumb_up0 voto/sflag
    icon

    Antonius Benedictus
    el 23/3/17

    Solo la c) corresponde a una función y además dom(f)=R

    thumb_up0 voto/sflag