Foro de preguntas y respuestas de Matemáticas

logo beUnicoos
Los foros de unicoos se han unificado en nuestra nueva plataforma beUnicoos. Para dejar nuevas preguntas deberás hacerlo allí, donde además podrás encontrar nuevas asignaturas y herramientas para ayudarte más con tus estudios.

  • icon

    Toby
    el 23/3/17

    Hola!!

    Alguien me puede ayudar con unas definiciones, que me lían un poco

    1.) ¿Qué es una función creciente?

    2.) ¿Qué es una función estrictamente decreciente?

    3.) ¿Existen diferencias entre "función creciente" y "función estrictamente decreciente"?

    4.) De igual manera. ¿Qué es función decreciente y función estrictamente decreciente? y diferencias (Si es que existen)


    //Me pregunto esto porque en un cuestionario de temas, me dicen seleccione la respuesta correcta y noto esto en las alternativas, "función creciente" y "función estrictamente decreciente"//


    Gracias de antemano...   Att: "EL TOBY"

    replythumb_up0 voto/sflag
    icon

    Antonius Benedictus
    el 23/3/17

    f creciente (los valores de las ordenadas no disminuyen al aumentar las abscisas):

    a<b→f(a)≤f(b)   

    f estrictamente creciente (los valores de las ordenadas aumentan al aumentar las abscisas):

    a<b→f(a)<f(b)

    thumb_up0 voto/sflag
  • icon

    Sebástian
    el 23/3/17

    Buen día. Que tal

    Tengo una consulta en un problema, tengo que hallar el área de la región sombreada

    , pero no se como hacerlo.

    Ayuda!!


    replythumb_up0 voto/sflag
    icon

    Antonius Benedictus
    el 23/3/17


    thumb_up0 voto/sflag
  • icon

    Deidara Stick.
    el 23/3/17

    Hola amigos unicoos. Podria alguien ayudarme con el ejercicio en la imagen. x favor.

    Gracias de antemano.


    replythumb_up0 voto/sflag
    icon

    Antonius Benedictus
    el 23/3/17


    thumb_up0 voto/sflag
  • icon

    Jesús B
    el 23/3/17

    (3x+1)/7 - (2-4x)/3 ≥ (-5x-4)/14 + (7x/6)

    replythumb_up0 voto/sflag
    icon

    Ángel
    el 23/3/17

    (3x+1)/7 - (2-4x)/3 ≥ (-5x-4)/14 + (7x/6)

    (18x+6)/42 - (28-56x)/42 ≥ (-15x-12)/42 + (49x/42)

    18x+6 - 28+56x ≥ -15x-12 + 49x

    56x+18x+15x-49x ≥ -12+28-6

    40x ≥ 10

    ≥ 10/40

    ≥ 1/4

    thumb_up1 voto/sflag
    icon

    Jesús B
    el 23/3/17

    Disculpa, me puedes explicar de dónde sale (18x+6)/42 - (28-56x)/42 ≥ (-15x-12)/42 + (49x/42)? Gracias.

    thumb_up0 voto/sflag
    icon

    Ángel
    el 23/3/17

    Pasamos a común denominador:


    (3x+1)/6 es lo mismo que (18x+6)/42 

    (2-4x)/3 es lo mismo que (28-56x)/42

    (-5x-4)/14 es lo mismo que (-15x-12)/42

     (7x/6)  es lo mismo que (49x/42)


    thumb_up1 voto/sflag
    icon

    Ángel
    el 23/3/17

    Fe de errata: (3x+1)/7 es lo mismo que (18x+6)/42

    thumb_up1 voto/sflag
  • icon

    Luciano De Renzo
    el 23/3/17

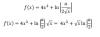
    Buenas noches, en este caso la función a derivar es: f(x)=4x3+ln a/2√x (a es una constante)

    Mi consulta es en torno a 4x3+ln a, me genera dudas si tengo que tomar la suma de ambas funciones como u y el denominador como v y hacer la regla de derivación de cociente de funciones y ya, o como son dos funciones sumadas (4x3+ln a) tengo que hacer algo mas que no estoy viendo.

    Desde ya gracias por la ayuda nuevamente.


    replythumb_up0 voto/sflag
    icon

    Ángel
    el 23/3/17

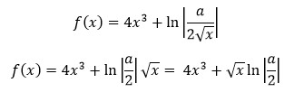
    Si te refieres a f(x)=(4x3+ln a)/2√x

    tienes que aplicar la regla del cociente directamente, tomando u= 4x3+ln a   y   v= 2√x


    thumb_up0 voto/sflag
    icon

    Axel Morales Piñón.
    el 23/3/17

    ¿Cuál de ellas Luciano?


    thumb_up0 voto/sflag
    icon

    Axel Morales Piñón.
    el 23/3/17

    Importante el uso adecuado de los paréntesis. 

    thumb_up0 voto/sflag
    icon

    Luciano De Renzo
    el 23/3/17

    Hola, la función la escribí tal cual esta, sin ningún paréntesis, estuve intentando adjuntar la imagen pero no me deja. La función es tal cual la escribí, no tiene paréntesis. Saludos,

    thumb_up0 voto/sflag
  • icon

    torpeligente
    el 23/3/17

    ¿Cómo plantear el problema siguiente?

    La suma de dos cifras de un número es 8. Si al número se le añade 18, el número resultante está formado por las mismas cifras en orden inverso. Halla el número.

    Solución: 35

    replythumb_up0 voto/sflag
    icon

    Antonio
    el 23/3/17

    Sea el número de dos cifras tiene la forma xy

    La suma de dos cifras de un número es 8    => x + y = 8

    El número es 10x+y

    Si al número se le añade 18      => (10x + y) + 18

    el número formado por las mismas cifras en orden inverso será de la forma yx, es decir: 10y+x

    El sistema será:

    x + y = 8

    (10x + y) + 18 = 10y+x

    Se resuelve:

    x + y = 8

    10x + y + 18 = 10y+x


    x + y = 8

    9x -9 y = -18

    x=3

    y=5

    El número es 35


    thumb_up0 voto/sflag
  • icon

    Javicii
    el 23/3/17

    Tengo una duda (2° bachiller). Me piden que calcule la ecuacion de una recta en la forma continua y me dan un punto y un vector, pero este tiene una coordenada nula. Como hago para calcular la ecuacion de la recta? Porque me queda un termino dividido entre 0 

    replythumb_up0 voto/sflag
    icon

    Antonio
    el 23/3/17

    No pasa nada, en este caso, y solo en este caso, se puede dividir por cero.

    thumb_up0 voto/sflag
    icon

    Antonio
    el 23/3/17


    thumb_up0 voto/sflag
  • icon

    JUAN AMPIE
    el 23/3/17

    Hola solo queria hacer una pequeña consulta


    Era para saber si no pueden ayudar en problemas de algoritmos


    Gracias por su atencion

    replythumb_up0 voto/sflag
    icon

    Ángel
    el 23/3/17

    Depende que algoritmos...los hay fáciles, los hay que son parte de últimos cursos de ingeniería

    Si se sale mucho de bachillerato por mi parte al menos no, manda un ejemplo

    thumb_up1 voto/sflag
    icon

    JUAN AMPIE
    el 23/3/17

    Es que queria por lo menos e n c++ , hacer operaciones basicas (sumar , restar , multiplicar , dividir )


    Se podria ?


    Muchas gracias por la atencion

    thumb_up0 voto/sflag
    icon

    Ángel
    el 23/3/17

    Algo de java o phyton de programación imperativa y relacionado con matemáticas como excepción sí puedo intentar responderte...pero creo expertos en esto hay más y mejores por otros lares :D


    Pon el ejemplo y ya salimos de dudas 

    thumb_up2 voto/sflag
    icon

    JUAN AMPIE
    el 23/3/17

    Por lo menos que me ayudaras con el fctorial


    Hacer que el programa me de el factorial con el limite que le de

    thumb_up0 voto/sflag
  • icon

    Elena
    el 23/3/17

    Buenas !!

    Alguien me podría ayudar con la representación gráfica de estas funciones ?? 


    replythumb_up0 voto/sflag
  • icon

    Alba
    el 22/3/17

    No me sale el resultado, alguien podría ayudarme por favor?

    √(2x-3) - √(x-5) = 2

    replythumb_up0 voto/sflag
    icon

    Ángel
    el 23/3/17

    Sigue rigurosamente este proceso:


    1. Pasa √(x-5) sumando al otro lado

    2. √(2x-3) = 2 + √(x-5)

    3. Eleva al cuadrado ambos términos

    4. Desarrolla ayudándote de las igualdades notables

    5. Vuelve a elevar al cuadrado para que se vaya la raíz

    6. Vuelve a desarrollar hasta obtener una ecuación de 2º grado

    7. Resuelve la ecuación con la fórmula de Bhaskara (de 2º grado)

    8. Obtiene x1 y x2


    Si dudas, nos cuentas

    thumb_up0 voto/sflag
    icon

    Alba
    el 23/3/17

    sigue sin salirme el resultado :(

    thumb_up0 voto/sflag
    icon

    Ángel
    el 23/3/17

    √(2x-3) = 2 + √(x-5)

    [√(2x`-3)]2 = [2 + √(x-5)]2

    2x`-3 = 4√(x-5)+x+1

    x-2= 4√(x-5)

    (x-2)2= [4√(x-5)]2

    x2-4x+4=16x-80

    x2-20x+84=0

    Empleando la fórmula para la resolución de ec. de 2º grado obtenemos x1=6 y x2=14

    Verificamos las soluciones en la ecuación original y vemos que ambas soluciones son válidas o verdaderas 

    thumb_up1 voto/sflag
    icon

    Alba
    el 23/3/17

    Muchas gracias! Ya se el error que estaba teniendo.

    thumb_up0 voto/sflag