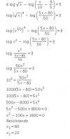
Hola a todos, me gustaría que me indicarais dónde he cometido el error en esta ecuación logarítmica:
4 log √x - log (x/10 - 8/5)=3
Operando con logaritmos he llegado a la ecuación 80x2 - 5000x=0, dando la solución x=62,5, pero es incorrecta ya que no cumple la ecuación logarítmica. Le he dado muchas vueltas y no veo dónde está el error.
Ruego me lo indiquéis. Gracias, y enhorabuena por la página.
Marta.
Hola Profe!.
Muchas gracias por sus vídeos!.
Necesito que me recomiendes algún libro para estudiar teoría, Cálculo nivel universitario, y otro libro especializado para problemas.
¿Podrías incluir una sección bibliografía en la página para recomendar libros a tus estudiantes?.
Muchas gracias!. Saludos desde Uruguay, Andrés.
Hola, tengo un hijo de 15 años en 3 de Eso. Tiene complicaciones con los sistemas de ecuaciones con denominadores. ¿Podrías hacer una clase con ello por favor? Ha suspendido el 80% de la clase y tienen que ir a recuperación dentro de 15 días. Un saludo y gracias.
Para reforzar métodos de sustitución, reducción e igualación:
Para practicar la eliminación de denominadores:
Desde el minuto 3:25 hasta el 05:05: http://www.unicoos.com/video/matematicas/4-eso/ecuaciones-y-sistemas/ecuaciones-exponenciales-y-logaritmicas/ecuacion-logaritmica-01
Desde el minuto 01:20 hasta el 05:05: http://www.unicoos.com/video/matematicas/4-eso/ecuaciones-y-sistemas/sistemas-no-lineales-de-ecuaciones/sistema-de-ecuaciones-no-lineal
Después de ver los vídeos, comprenderlos y practicarlos, que siga practicando con ejercicios de su libro de texto. Todas las dudas que tenga con gusto se la responderemos...
Si le da caña todos los días tiene prácticamente garantizado el aprobado y con serias opciones de sacar nota :)
Un saludo, suerte
Esta página le vendrá de lujo para hacer la tarea y ver las respectivas soluciones después: que los intente hacer los 4 sistemas por los 3 métodos cada uno
https://www.matesfacil.com/ESO/Ecuaciones/resueltos-sistemas-ecuaciones.html
Buenas noches, estoy intentando hacer la derivada de f(x)=cosx/2.senx y no puedo llegar al resultado correcto, a mi me queda en el primer paso:
- senx.(2.senx) - cosx.(2.cosx)/2.senx^2
Y ya despues no se como seguir, si hacer las multiplicaciones o sacar algun factor comun, desde ya muchas gracias!

Si la expresión de la función es:
f(x) = cosx / 2senx,
observa que tienes un cociente de la forma u/v, donde:
u = cosx, y su derivada queda: u ' = - senx,
v = 2senx, cuya derivada queda: v ' = 2cosx,
luego aplicas la regla de derivación para un cociente de funciones y queda:
f ' (x) = ( u ' * v - u * v ' ) / v2,
luego sustituyes y queda:
f ' (x) = ( - senx*2senx - cosx*2cosx ) / (2senx)2 = resolvemos términos en el numerador:
= ( - 2sen2x - 2cos2x) / (2senx)2 = extraemos factor común en el numerador:
= - 2(sen2x + cos2x) / (2senx)2 = aplicamos la identidad fundamental (o Pitagórica) en el numerador:
= - 2*1 / (2senx)2 = resolvemos el numerador y distribuimos la potencia en el denominador:
= - 2 / 4sen2x = simplificamos factores numéricos:
= - 1 / 2sen2x.
Espero haberte ayudado.
Muchas gracias a todos, no respondí antes porque no me dejaba entrar al foro en todo el día la pagina. Ya puse resolverlo, efectivamente la respuesta es: f'(x)=-1/2sen2x
No tenia idea de esta identidad fundamental, es la primera vez que lo escucho y lo investigue un poco mas, sin este recurso podria haberme roto la cabeza para resolverlo. En fin, gracias y saludos!