Foro de preguntas y respuestas de Matemáticas

logo beUnicoos
Los foros de unicoos se han unificado en nuestra nueva plataforma beUnicoos. Para dejar nuevas preguntas deberás hacerlo allí, donde además podrás encontrar nuevas asignaturas y herramientas para ayudarte más con tus estudios.

  • icon

    Alba
    el 22/3/17
    flag

    alguien puede ayudarme??

    2logx - log(x+4) = log2

    replythumb_up0 voto/sflag
    icon

    Antonio
    el 23/3/17


    thumb_up0 voto/sflag
  • icon

    Alumna
    el 22/3/17

    Hola Unicoos, necesito ayuda con este problema, lo he hecho, espero que me podáis ayudar...

    Además de indicarme en qué fallo, o si me va bien, os agradecería si me podéis decir qué puedo poner para poder visualizar vídeos de este tipo para poder ayudarme.

    Muchas Gracias.

    Os dejo el enunciado, dice así:


    -Un estudiante recibe 600 € al mes.

    Debe pagar un 20% de alquiler de esa cantidad .De la cantidad restante destina cada mes el 50% a comprar comida, el 25% a comprar ropa y otro 25% a salir y gastos varios.

    Un día sale de compras y gasta 40 € en unos pantalones, 10 € en comer en un bar, 2 € en el bus y 3 € en consumiciones

    ¿Qué porcentaje ese día de cada epígrafe? (alquiler, comida, ropa y salir)


    replythumb_up0 voto/sflag
    icon

    Alumna
    el 22/3/17

    Un estudiante recibe 600 € al mes.

    Debe pagar un 20% de alquiler de esa cantidad .De la cantidad restante destina cada mes el 50% a comprar comida, el 25% a comprar ropa y otro 25% a salir y gastos varios.

    Un día sale de compras y gasta 40 € en unos pantalones, 10 € en comer en un bar, 2 € en el bus y 3 € en consumiciones

    ¿Qué porcentaje ese día de cada epígrafe? (alquiler, comida, ropa y salir)

    thumb_up0 voto/sflag
    icon

    Ángel
    el 23/3/17

    Has puesto otra vez el mismo enunciado, sigue estando mal planteado

    Lo que has mandado, lo del principio está bien...lo demás como no entiendo que te pide el enunciado no te puedo asegurar nada 

    thumb_up0 voto/sflag
  • icon

    Daniel Andrés
    el 22/3/17

    Alguno que me aclare de donde sale la respuesta al argumento que da Pi/medios 
    Según lo que sé, es que el procedimiento para hallar el valor seria el arctan (0/8) (Supongo que estoy en lo correcto). pero me daria un valor de 0 , entonces no entiendo porque  es pi/medios


    replythumb_up0 voto/sflag
    icon

    Ángel
    el 22/3/17

    Replantea tu pregunta, enumera las dudas. Yo no le termino de encontrar sentido

    thumb_up0 voto/sflag
    icon

    Daniel Andrés
    el 22/3/17

    La imagen no se subió ..... acá está


    thumb_up0 voto/sflag
    icon

    Ángel
    el 22/3/17


    thumb_up2 voto/sflag
  • icon

    Matemáticas
    el 22/3/17
    flagflag

    Me podeis ayudar con este ejercicio. Al principio os pongo la parte a que hace referencia el ejercicio y despues el ejercicio en si.

    El ejercicio es:



    replythumb_up0 voto/sflag
    icon

    Guillem De La Calle Vicente
    el 22/3/17

    Las siguientes gráficas muestran las sumas inferior y superior, respectivamente:


    Por lo tanto, ahora tenemos que calcular las sumas inferiores y superiores. Para las sumas más bajas, sumamos el área de todo el rectángulo azul. Cada rectángulo tiene la anchura b/n (ya que hemos dividido el intervalo [0, b] en n partes iguales) y su altura es el valor de la curva en el lado izquierdo del rectángulo (ya que la curva es Dibujado de manera que la esquina izquierda descansa sobre la curva). Por lo tanto, tenemos

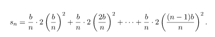
    Para las sumas superiores, la anchura de cada rectángulo sigue siendo b/n, pero la altura se da ahora por el valor de la función en la esquina derecha. Entonces tenemos,


    \[ S_n = \frac{b}{n} \cdot 2 \left( \frac{b}{n} \right)^2 + \frac{b}{n} \cdot 2 \left( \frac{2b}{n} \right)^2 + \cdots + \frac{b}{n} \cdot 2 \left( \frac{(n-1)b}{n} \right)^2 + \frac{b}{n} \cdot 2 \left( \frac{bn}{n} \right)^2. \]

    Ahora, se nos da la identidad


    \[ \sum_{i=1}^n i^2 = \frac{n^3}{3} + \frac{n^2}{2} + \frac{n}{6}, \]

    Y así, siguiendo el ejemplo de Apostol,


    \[ 1^2 + 2^2 + \cdots + (n-1)^2 < \frac{n^3}{3} < 1^2 + 2^2 + \cdots + n^2. \]

    Ahora, multiplicamos cada término en la desigualdad por \ frac {b} {n} \ cdot 2 \ izquierda (\ frac {b} {n} \ derecha) ^ 2 así las sumas en la extrema izquierda y la extrema derecha se convierten en nuestra s_n Y S_n arriba, y podemos simplificar el término en el medio. Así, para todo n \ geq 1 tenemos


    \begin{align*}   s_n &< \frac{n^3}{3} \cdot \frac{b}{n} \cdot 2 \left(\frac{b}{n} \right)^2 < S_n \\ \implies s_n &< \frac{2b^3}{3} < S_n. \end{align*}

    Ahora, debemos mostrar que si s_n <A <S_n para todo n \ geq 1 entonces A = \ frac {2b ^ 3} {3}. Logramos esto mostrando que A <\ frac {2b ^ 3} {3} y A> \ frac {2b ^ 3} {3} conducen a contradicciones.

    Supongamos que A <\ frac {2b ^ 3} {3}. Entonces, como S_n - s_n = \ frac {2b ^ 3} {n} podemos calcular,


    \begin{align*}  \frac{2b^3}{3} < S_n && \implies && \frac{2b^3}{3} - s_n &< S_n - s_n \\  && \implies && \frac{2b^3}{3} - A &< \frac{2b^3}{n} \\  && \implies && n &< \frac{2b^3}{\left( \frac{2b^3}{3} \right) - A}. \end{align*}

    Sin embargo, esto no puede mantenerse para todos los n \ geq 1 ya que el término a la derecha es una constante (dependiendo de b), por lo que siempre podemos elegir un n que sea mayor ya que los enteros positivos son ilimitados arriba.

    A continuación, supongamos A> \ frac {2b ^ 3} {3}. Entonces,


    \begin{align*}  A < S_n && \implies && A - s_n &< S_n - s_n \\  && \implies && A - \frac{2b^3}{3} &< \frac{2b^3}{n} \\  && \implies && n &< \frac{2b^3}{A - \left( \frac{2b^3}{3} \right)}. \end{align*}

    Pero, nuevamente, esto no puede ser cierto para todos los enteros positivos n ya que los números enteros positivos son ilimitados arriba. Por lo tanto, tanto A <\ frac {2b ^ 3} {3} y A> \ frac {2b ^ 3} {3} conducen a contradicciones. Por lo tanto, debemos tener


    \[ A = \frac{2b^3}{3}. \qquad \blacksquare \]



    thumb_up0 voto/sflag
  • icon

    María
    el 22/3/17

    Hola unicoos!!

    Me podeis ayudar con este ej? 


    replythumb_up0 voto/sflag
    icon

    Antonio
    el 22/3/17

    la primera es lnIx+1I

    y la segunda esenx

    thumb_up0 voto/sflag
    icon

    María
    el 23/3/17

    Gracias 

    thumb_up0 voto/sflag
  • icon

    Pilar
    el 22/3/17

    Alguien me puede ayudar por favor a cómo seguir con el ejercicio 11

    replythumb_up0 voto/sflag
    icon

    Antonius Benedictus
    el 22/3/17

    Plano OXY

    Al desarrollar el determinante, queda  z=0.

    Plano OXZ :    y=0

    Plano OYZ:  x=0.

    thumb_up0 voto/sflag
  • icon

    Froylan
    el 22/3/17

    alguien me puede ayudar con este problema:

    al abordar un taxi el cobro es de $8.00 y aumenta $1.50 por cada 200 metros recorridos 

    1- supòn que tus recorridos sòlo abarcan mùltiplos de 200 metros. ¿ cuàl serìa el modelo/funciòn para esta situaciòn?



    replythumb_up0 voto/sflag
    icon

    Antonio
    el 22/3/17

     

    thumb_up0 voto/sflag
  • icon

    Beatriz
    el 22/3/17

    Los márgenes de un río tienen por ecuaciones: x - y = 2, x - y = -2. Dos pueblos A(-3, 2) y B(4, 0), se van a unir por una línea de ferrocarril que cruzará el río perpendicularmente. ¿En qué puntos de ambas orillas se construirá el puente para que el trayecto sea mínimo?

    ¿CÓMO PUEDO RESOLVERLO? AYUDA!! URGENTE.



    replythumb_up0 voto/sflag
    icon

    Antonio
    el 22/3/17

    La solución es P(0,2) y Q(2,0) 

    thumb_up0 voto/sflag
    icon

    Antonio
    el 22/3/17

    Sea P(a,b) el punto en una orilla y Q(c,d) el punto en la otra orilla

    Al estar los dos puntos en perpendicular a ambas rectas tenemos que: Q(b,a)

    Además b=a+2, por estar en la primera recta

    Entonces P(a,a+2)  y Q(a+2,a) 

    La distancia entre A(-3,2) y P(a,a+2) es √[(a+3)2+(a)2] 

    La distancia entre B(4,0) y Q(a+2,a) es √[(a-2)2+(a)2] 

    Sea d(a) la distancia que hay que cubrir de carretera

    d(a)=√[(a+3)2+(a)2] +√[(a-2)2+(a)2] 

    minimizar la distancia entre los dos pueblos es minimizar d(a) pues la distancia del puente es la misma para todos los casos

    minimizemos d(a), para ello derivamos

    d'(a)= ...

    igualamos a cero

    ...

    resolvemos la ecuación racional

    ...

    tenemos como solución

    a=0

    por lo tanto a=0 y b=2

    Los puntos son P(0,2) y Q(2,0) 



    thumb_up1 voto/sflag
  • icon

    Ronald Dominguez
    el 22/3/17

    Alguien me podria ayudar con el ejercicio 7? sobre todo con el inciso a no se como comprobar si es alabeada, gracias de antemano.


    replythumb_up0 voto/sflag
    icon

    Antonio
    el 22/3/17

    Comprueba que no son paralelas, ni coincidentes, ni se cortan en un punto, pues rectas alabeadas son aquellas que se cruzan.

    thumb_up1 voto/sflag
    icon

    Antonius Benedictus
    el 22/3/17


    thumb_up1 voto/sflag
    icon

    Antonio
    el 22/3/17

    no son paralelas ni coincidentes ya que sus vectores directores (1,2,3) y (2,-1,1) no son proporcionales

    tampoco se cortan en un punto, pues de existir ese punto al calcularlo:

    x = 5+λ = 2+2μ     =>       λ - 2μ = -3

    y = -4+2λ = 0-μ     =>       2λ + μ = 4

    x = -2+3λ = 1+μ    =>       3λ - μ = 3

    Con las dos primeras

    λ - 2μ = -3

    2λ + μ = 4

    Resolvemos el sistema de ecuaciones:

    λ =  1

    μ = 2

    Sustituyendo en la tercera

    3λ - μ = 3

    3·1 - 2 = 1  3 

    No existe punto de corte, no se cortan


    thumb_up1 voto/sflag
  • icon

    D.dani
    el 22/3/17

    alguien me puede decir por favor donde esta este vídeo en la web ? https://www.youtube.com/watch?v=n7f1oib_waU lo he buscado y no lo encuentro gracias

    replythumb_up0 voto/sflag
    icon

    Antonius Benedictus
    el 22/3/17

    Pues yo acabo de pinchar el enlace y ya se ve.

    thumb_up1 voto/sflag