Foro de preguntas y respuestas de Matemáticas

logo beUnicoos
Los foros de unicoos se han unificado en nuestra nueva plataforma beUnicoos. Para dejar nuevas preguntas deberás hacerlo allí, donde además podrás encontrar nuevas asignaturas y herramientas para ayudarte más con tus estudios.

  • icon

    Matemáticas
    el 21/3/17

    Sea n un número natural. Demuestra de forma directa que n3 es multiplo de 3, si n es múltiplo de 3.


    replythumb_up0 voto/sflag
    icon

    Antonio
    el 21/3/17

    si n es múltiplo de 3 entonces n es igual a 3 multiplicado por un número, es decir n=3k 

    po otro lado tenemos que:

    n3=(3k)3=27k3=3 (9k3) el cual es múltiplo de 3, pues nes igual a 3 multiplicado por un número (9k3)



    thumb_up0 voto/sflag
  • icon

    Sonia Ramis García
    el 21/3/17

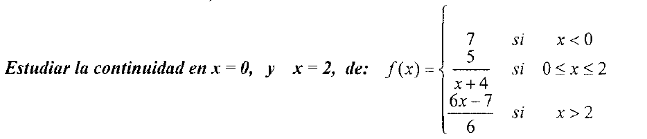
    Hola, me podéis decir como se resuelve esto? tengo hecho el ejercicio pero quiero asegurarme de que todo está bien ejecutado. gracias

    replythumb_up0 voto/sflag
    icon

    Antonio
    el 21/3/17

    a) Calcula los límites laterales a la función en el punto x=0 y comprueba que son iguales e iguales a la imagen en ese punto. No es continua, pues no son iguales.

    b) Calcula los límites laterales a la función en el punto x=2 y comprueba que son iguales e iguales a la imagen en ese punto. Es continua, pues son iguales.


    thumb_up1 voto/sflag
  • icon

    Bibiana
    el 21/3/17

    estoy intentando acceder al contenido de 1de la eso en matemáticas y me sale contenido de 2 de ESO, como por ejemplo en proporcionalidad...

    replythumb_up0 voto/sflag
  • icon

    LUCIA ROLDAN HERNANDEZ
    el 21/3/17

    hola        

    como se hace una ecuación de segundo grado cuando te ponen 3x al cuadrado-5=2(xal cuadrado-1)

    no entiendo como se hace porque lo he comprobado y no es ningún tipo de ecuación de segundo grado

    replythumb_up0 voto/sflag
    icon

    Antonio
    el 21/3/17

    3x2-5=2(x2-1)

    3x2-5=2x2-2

    3x2--5-2x2+2=0

    x2-3=0

    x2=3

    x = ±√3



    thumb_up1 voto/sflag
    icon

    Antonius Benedictus
    el 21/3/17





    thumb_up1 voto/sflag
  • icon

    Mª Angeles Carrasco Virto
    el 21/3/17

    tenemos duda en este problema. Nos puedes ayudar?

    Hae dos años mi edad era cuatro veces la tuya, y dentro de ocho años la suma de nuestras edades sera 70. ¿Que edad tiene cada uno?

    replythumb_up0 voto/sflag
    icon

    Antonius Benedictus
    el 21/3/17

    Hoy:   Mi edad, x.  La tuya, y.

    Hace dos años:   x-2=4(y-2)→x=4y-6

    Dentro de ocho años:  (x+8)+(y+8)=70→x=54-y

    Sistema:

    x=4y-6

    x=54-y

    Igualación:  4y-6=54-y

    5y=60 

    y=60/5=12

    x=42

    Tengo 42 (ya me gustaría)  y tú, enano, solo 12. 

    thumb_up0 voto/sflag
  • icon

    Encarni Fuentes
    el 21/3/17

    alguien puede ayudar?


    replythumb_up0 voto/sflag
    icon

    Alejandro Expósito
    el 21/3/17

    en que??

    thumb_up0 voto/sflag
  • icon

    Andrea Paniagua Pinero
    el 21/3/17

    Hola.

    Para que sirve la siguiente formula de progresiones?

    an=a1 + (n - 1) x d .

    replythumb_up0 voto/sflag
    icon

    Antonius Benedictus
    el 21/3/17

    Puedes saber un término cualquiera conociendo el primero, la diferencia y el lugar que ocupa.

    thumb_up1 voto/sflag
  • icon

    Encarni Fuentes
    el 21/3/17
    flag

  • icon

    Lidia Molina
    el 21/3/17

    Me podríais ayudar y explicarme paso a paso

    replythumb_up0 voto/sflag
    icon

    Ángel
    el 21/3/17

    Efectúa los paréntesis

    Pasa todo a un lado e iguala a cero, obtendrás una fórmula de segundo grado

    Emplea la fórmula para tal efecto

    Obtienes x1y x2

    thumb_up1 voto/sflag
    icon

    César
    el 21/3/17


    thumb_up1 voto/sflag