(function(){var g=this;function h(b,d){var a=b.split("."),c=g;a[0]in c||!c.execScript||c.execScript("var "+a[0]);for(var e;a.length&&(e=a.shift());)a.length||void 0===d?c[e]?c=c[e]:c=c[e]={}:c[e]=d};function l(b){var d=b.length;if(0=d.offsetHeight)a=!1;else{c=d.getBoundingClientRect();var f=document.body;a=c.top+("pageYOffset"in window?window.pageYOffset:(document.documentElement||f.parentNode||f).scrollTop);c=c.left+("pageXOffset"in window?window.pageXOffset:(document.documentElement||f.parentNode||f).scrollLeft);f=a.toString()+","+c;b.b.hasOwnProperty(f)?a=!1:(b.b[f]=!0,a=a

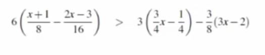
Puedes distribuir los factores comunes en sus agrupamientos correspondientes y queda:
6(x + 1)/8 - 6(2x - 3)/16 > 3(3/4)x - 3(1/4) - (3/8)(3)x + (3/8)(2),
luego simplificas en cada término, resuelves productos numéricos y queda:
3(x + 1)/4 - 3(2x - 3)/8 > (9/4)x - (3/4) - (9/8)x + 3/4,
multiplicamos por 8 en todos los términos de la inecuación (observa que no cambia la desigualdad), simplificamos y queda:
6(x + 1) - 3(2x - 3) > 18x - 6 - 9x + 6,
distribuimos en los términos del primer miembro y queda:
6x + 6 - 6x + 9 > 18x - 6 - 9x + 6,
cancelamos términos opuestos en ambos miembros y queda:
6 + 9 > 18x - 9x,
reducimos términos semejantes y queda:
15 > 9x,
hacemos pasajes de términos y queda:
- 9x > - 15,
hacemos pasaje de factor como divisor (observa que cambia la desigualdad), simplificamos y queda:
x < 5/3.
Espero haberte ayudado.

Me encantaría ayudarte, pero no respondo dudas universitarias (o de lógica) que no tengan que ver específicamente con los videos que ya he grabado como excepcion. O de otras asignaturas que no sean matemáticas, física y química. Lo siento de corazón… Espero lo entiendas
Ojalá algun unicoo universitario se anime a ayudarte (de hecho lo ideal es que todos los universitarios intentarais ayudaros los unos a los otros)
Hola soy nueva y me gustaría saber, como utilizar esta página para buscar ayuda con los ejercicios que tengo dudas gracias
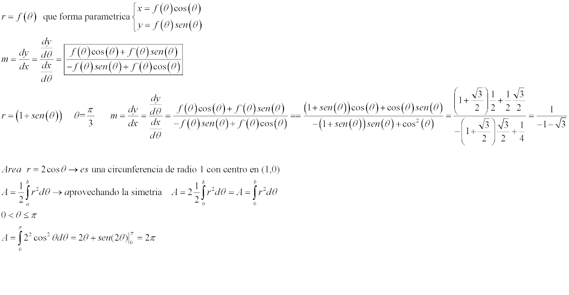
con ayuda con esto... ecuacion polar a rectangular:
r=2sen(theta)/(1-sen^2(theta))
esto es lo que he hecho:

Disculpad que te lo mande asi pero no me alcanza la vida como para escribir todo de nuevo, todo gracias al bug de unicoos xD
Primero dibuja la recta y prolonga un radio r en 45 grados sex, obtendras que x=rcosθ ; y =rsenθ, elevas ambas ecuaciones al cuadrado y luego las sumas, en español xD
x^2=r^2*(cosθ)^2 ; y^2=r^2*(senθ)^2
al sumar ambas ecuaciones obtendras la primera ecuacion fundamental : x^2+y^2=r^2 (esta ecuacion es muy importante por mas que no la usemos en este ejercicio xD)
Hola me podéis explicar cómo se simplifican las fracciones

En principio, los pasos son:
1°) Factorizar al numerador, y también al denominador, para que queden expresados como productos de números naturales primos (2, 3, 5, 7, 11, 13, 17, 19, 23, 29, 31, ...).
2°) Simplificar todos los factores que sean comunes al numerador y al denominador.
Por ejemplo:
a) 40/54 = (2*2*2*5) / (2*3*3*3) = simplificamos factores comunes = (2*2*5) / (3*3*3) = 20/27.
b) 40/50 = (2*2*2*5) / (2*5*5) = simplificamos factores comunes = (2*2) / 5 = 4/5.
c) 40/12 = (2*2*2*5) / (2*2*3) = simplificamos factores comunes = (2*5) / 3 = 10/3.
d) 50/150 = (2*5*5) / 2*3*5*5) = simplificamos factores comunes = 1/3,
observa que al simplificar todos los factores en el numerador, que para éste el factor neutro 1.
Luego, cuando practicas un poquito, verás que agilizas las simplificaciones y las realizas en forma más directa, pero el procedimiento que hemos mostrado es el más detallado.
Espero haberte ayudado.

Recuerda las ecuaciones de paso de coordenadas cartesianas a coordenadas polares:
x = r*cosθ (1), y = r*senθ (2),
y las ecuaciones de paso de coordenadas polares a cartesianas:
r = √(x2 + y2) (3), tanθ = y/x (4).
32) Tienes la ecuación en coordenadas polares:
r = 4*senθ, multiplicas por r en ambos miembros y queda:
r2 = 4*r*cosθ,
sustituimos la expresión señalada (3) en el primer miembro, y la expresión señalada (1) en el segundo, y queda:
( √(x2 + y2) )2 = 4*x, simplificamos índice y exponente en el primer miembro y queda:
x2 + y2 = 4*x, hacemos pasaje de término, ordenamos términos y queda:
x2 - 4*x + y2 = 0, sumamos 4 en ambos miembros y queda:
x2 - 4*x + 4 + y2 = 4, factorizamos el trinomio cuadrado perfecto y queda:
(x - 2)2 + y2 = 4, que es la ecuación cartesiana canónica de una circunferencia con centro C(2,0), y radio R = 2.
33) Tienes la ecuación en coordenadas polares:
θ = π/6, componemos con la función tangente en ambos miembros y queda:
tanθ = tan(π/6),
sustituimos la expresión señalada (4) en el primer miembro, resolvemos el segundo miembro y queda:
y/x = (√(3)/3), hacemos pasaje de divisor como factor y queda:
y = (√(3)/3)*x, que es la ecuación cartesiana explícita de una recta con pendiente m = √(3)/3, que pasa por el punto A(0,0).
Espero haberte ayudado.