Foro de preguntas y respuestas de Matemáticas

logo beUnicoos
Los foros de unicoos se han unificado en nuestra nueva plataforma beUnicoos. Para dejar nuevas preguntas deberás hacerlo allí, donde además podrás encontrar nuevas asignaturas y herramientas para ayudarte más con tus estudios.

  • icon

    Lidia Molina
    el 21/3/17

    Me podríais explicar paso a paso.gracias. 

    replythumb_up0 voto/sflag
    icon

    Ángel
    el 21/3/17

    Efectúa la división

    Pasa a común denominador

    Quita los denominadores

    Pasa las equis a un lado, los "números sin equis" a otro

    Despeja x, y así obtienes el nº de sobresalientes de Pedro en la evaluación

    thumb_up1 voto/sflag
    icon

    Lidia Molina
    el 21/3/17

    Me las podías mandar hechas paso por paso.si no,no entiendo gracias

    thumb_up0 voto/sflag
    icon

    Ángel
    el 21/3/17

    Esfuérzate un poco, si no nunca aprenderás...llevas unos días preguntando las mismas simpladas

    thumb_up0 voto/sflag
  • icon

    Andrea Paniagua Pinero
    el 21/3/17

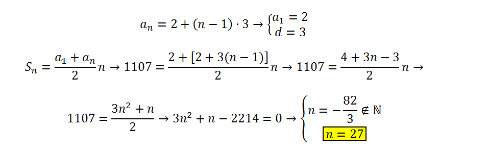
    Hola buenas, es mi primer año de sucesiones y la verdad es que estoy teniendo problemas porque cuando me complican un poquito el ejercicio ya la lio y no se que formula utilizar, y en concreto hay un ejercicio que no se resolver, a ver si me podeis ayudar.

    El ej dice asi : si el término general de una progresion aritmetica es an=2 +(n - 1) x 3 , ¿cuantos términos son necesarios para que la suma sea igual a 1107?

    El ejercicio me parece bastante complicado porque le da la vuelta a la formula de la suma , a ver si vosotros me podeis ayudar .

    Muchas gracias.


    replythumb_up0 voto/sflag
    icon

    Antonius Benedictus
    el 21/3/17


    thumb_up1 voto/sflag
  • icon

    pablo
    el 21/3/17

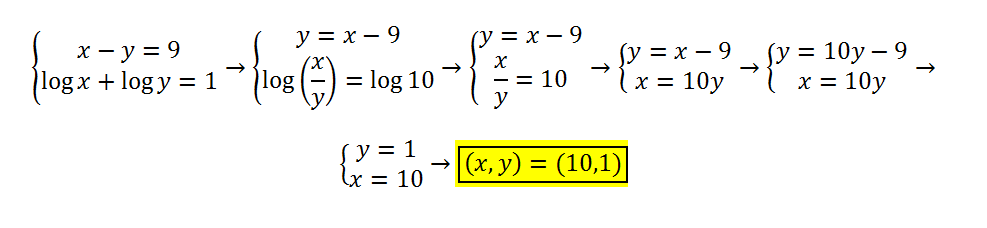
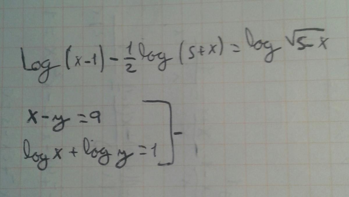
    Me podríais ayudar con este sistema de ecuaciones y con la ecuación logarítmica.

    replythumb_up0 voto/sflag
    icon

    Antonius Benedictus
    el 21/3/17


    thumb_up0 voto/sflag
    icon

    Antonius Benedictus
    el 21/3/17


    thumb_up0 voto/sflag
    icon

    Ángel
    el 21/3/17

    log(x-1)-1/2[log(5+x)] =log(5-x)


    log(x-1)-log(5+x) =log(5-x)


    log(x-1) =log(5-x) + log√(5+x)


    log(x-1) =log(5-x) + log√(5+x)


    log(x-1) =log((5-x)*√(5+x))


    x-1=(5-x)*√(5+x)


    (x-1)2=[(5-x)*√(5+x)]2


    x2-2x+1= 25-x2


    2x2-2x-24=0


    x2-x-12=0


    Al resolver la ec. de 2º grado obtenemos x1=4 y x2=-3

    Y si sustituimos en la ecuación original vemos que x1es un solución válida y -3 es falso

    thumb_up0 voto/sflag
  • icon

    Sara Tarjuelo
    el 21/3/17

    Me podeis ayudar con este ejercicio? gracias!: Comprueba si los vectores AB  y CD  son equipolentes, siendo A(2, 1, 3),

    B(5, 4, 1), C(2, 1, 5) y D(3, 2, -1). Si no lo son, halla las coordenadas de D’ para que AB  y

    CD'  lo sean.

    replythumb_up0 voto/sflag
    icon

    Antonio
    el 21/3/17

    sea A(2, 1, 3),B(5, 4, 1), C(2, 1, 5) y D(3, 2, -1).

    calculemos AB  → (3, 3, -2)

    calculemos CD  → (1, 1, -6)

    No son vectores equipolentes

    sea D’ (x,y,z)

    calculemos CD'  → (x-2, y-1, z-5)

    recordemos AB  → (3, 3, -2)

    para que AB  y CD'  sean vectores equipolentes:

    3=x-2 => x=5

    3=y-1=> y=4

    -2=z-5=> z=3

    por lo tanto:

    D’ (5,4,3)


    thumb_up0 voto/sflag
    icon

    Sara Tarjuelo
    el 21/3/17

    y por qué AB y CD no son equipolentes?


    thumb_up0 voto/sflag
    icon

    Ángel
    el 22/3/17

    Como AB vale (3,3,-2), para que fueran equipolentes CD´ tendría que ser (3,3,-2) también

    thumb_up0 voto/sflag
    icon

    Ángel
    el 22/3/17

    Observa que C(2, 1, 5) + (3,3,-2)= D´

    (5,4,3)= D´

    thumb_up0 voto/sflag
  • icon

    Sonia Ramis García
    el 21/3/17

    Hola, alguien puede resolverme este ejercicio? lo tengo hecho pero quiero verificar si lo hice bien. gracias

    replythumb_up0 voto/sflag
    icon

    Guillem De La Calle Vicente
    el 21/3/17


    thumb_up1 voto/sflag
  • icon

    Manu
    el 21/3/17

    Buenas, en la integral indefinida:

    ∫2x·ex^2 -1 dx = 2/2  ∫ 2x·ex^2 -1 = ex^2  -1 +C

                  Este: 2/2 el numerador viene de la derivada y el denominador de la potencia de ex^2 -1  o, al revés ??


    replythumb_up0 voto/sflag
    icon

    Guillem De La Calle Vicente
    el 21/3/17

    el 2/2 es 1, por tanto, es lo mismo que poner un 1 delante la integral. El 2x es la derivada de x2-1.


    thumb_up1 voto/sflag
  • icon

    Marest
    el 21/3/17

    no se lee bien.

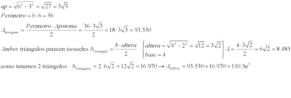
    Ejercicio 98  b) determina el área y el perímetro de la zona sombreada de la figura b). Datos base del triángulo 4 cm y lado del hexágono 6 cm.

    Ejercicio 109 a) halla el área de la zona sombreada figura a). Datos lado del cuadrado 4 cm y la figura b) también 4 cm.

    Ejercicio 111 a) Área de las zonas sombreadas .Radio 2 cm , ángulo 30º. b) radio 3 cm y ángulo 20º.

    replythumb_up0 voto/sflag
    icon

    Ángel
    el 21/3/17

    No se ven los dibujos...

    thumb_up0 voto/sflag
  • icon

    Marina
    el 21/3/17

    Hola me podría ayudar

    Me cuesta mucho diferenciar los problemas de magnitudes directas y las magnitudes inversa

    replythumb_up0 voto/sflag
    icon

    Antonio
    el 21/3/17

    magnitudes directas son cuando si una crece la otra crece: número de panes que compro con dinero que pago por ellos

    magnitudes inversas son cuando una crece la otra decrece: números de obreros que trabajan en una obra con tiempo que tardan en realizar la obra

    thumb_up0 voto/sflag
  • icon

    Marest
    el 21/3/17

    uuuf lo he duplicado para aumentarlo y no he sabido hacerlo

    replythumb_up0 voto/sflag
    icon

    Ángel
    el 21/3/17

    ??

    thumb_up0 voto/sflag
  • icon

    Marest
    el 21/3/17

    Me podéis ayudar con el ejercicio  98 b),     con el   109 a) y b) ,    y  con el   111 a) y b) 

    muchísimas gracias

    replythumb_up0 voto/sflag
    icon

    César
    el 21/3/17


    thumb_up0 voto/sflag
    icon

    César
    el 21/3/17


    thumb_up0 voto/sflag