Hola Unicoos, alguien podría representarme gráficamente el planteamiento de este enunciado?

Tenemos los puntos: P(4,2), Q(-2,5), y el punto genérico perteneciente al lugar geométrico: X(x,y).
Luego, planteamos las distancias entre el punto genérico y cada uno de los puntos, elevadas al cuadrado:
d(P,X)2 = (x - 4)2 + (y - 2)2 = x2 - 8x + 16 + y2 - 4y + 4 = x2 + y2 - 8x - 4y + 20,
d(Q,X)2 = (x + 2)2 + (y - 5)2 = x2 + 4x + 4 + y2 - 10y + 25 = x2 + y2 + 4x - 10y + 29.
Luego planteamos la condición que cumplen los puntos que pertenecen al lugar geométrico (observa que tenemos dos opciones):
1)
d(P,X)2 - d(Q,X)2 = 15, sustituimos expresiones y queda:
x2 + y2 - 8x - 4y + 20 - (x2 + y2 + 4x - 10y + 29) = 15, distribuimos el signo en el agrupamiento y queda:
x2 + y2 - 8x - 4y + 20 - x2 - y2 - 4x + 10y - 29 = 15, reducimos términos semejantes (observa que tenemos cancelaciones) y queda:
- 12x + 6y - 9 = 15, hacemos pasajes de términos, reducimos términos semejantes y queda:
6y = 12x + 24, dividimos en todos los términos de la ecuación por 6 y queda:
y = 2x + 4, que es la ecuación cartesiana explícita de una recta con pendiente m = 2, que pasa por el punto A(0,4).
2)
d(Q,X)2 - d(P,X)2 = 15, sustituimos expresiones y queda:
x2 + y2 + 4x - 10y + 29 - (x2 + y2 - 8x - 4y + 20) = 15, distribuimos el signo en el agrupamiento y queda:
x2 + y2 + 4x - 10y + 29 - x2 - y2 + 8x + 4y - 20 = 15, reducimos términos semejantes (observa que tenemos cancelaciones) y queda:
12x - 6y + 9 = 15, hacemos pasajes de términos, reducimos términos semejantes y queda:
- 6y = - 12x + 6, dividimos en todos los términos de la ecuación por - 6 y queda:
y = 2x - 1, que es la ecuación cartesiana explícita de una recta con pendiente m = 2, que pasa por el punto B(0,-1).
Luego, tenemos que los puntos del lugar geométrico forman las dos rectas paralelas, por lo que concluimos:
L = { (x,y) ∈ R2 / y = 2x + 4 ∨ y = 2x - 1 }.
Espero haberte ayudado.

en el c) no te has equivocado, estan bien hechos los cálculos pero se puede poner de forma más arreglada usando una fórmula trigonométrica que se estudia en 1ºBachillerato. Y en el b, lo que va en el numerador es la derivada de la raiz, pues f(x) es la raiz. Te adjunto foto de ambas resueltas para que lo veas, si tienes alguna duda, no dudes en preguntarme :) ![]()
Hola, buenas tardes. Es la primera vez que entro, a ver si me podeis ayudar con este ejercicio
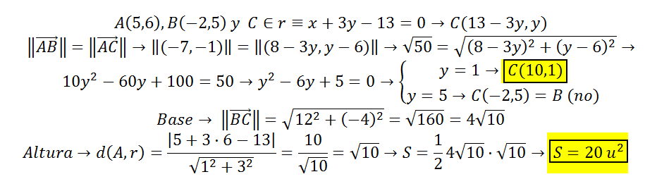
Un triángulo isósceles tiene por lados iguales AB y AC. Los vértices B y C se hallan sobre la recta r : x+3y-13=0. Las coordenadas de los vértices A y B son A (5,6) y B (-2,5). Halla las coordendas del vértice C y el área del triángulo
El ejercicio siempre dicta lo que debemos hacer
cierto número es x y la suma de su inverso que es 1/x es 26/5
por lo tanto
x+1/x=26/5
(x^2+1)/x=26/5
5(x^2+1)=26x
5x^2+5=26x
5x^2-26x+5=0
aquí factoramos
(5x-25) (5x-1) / 5
(x-5) (5x-1)
aquí vemos que
x=5
x2=1/5
y reemplazado en la ecuación inicial tenemos que la respuesta es 5
porque
5+1/5=26/5
Hola es en relación a matemáticas de 1 eso. Cómo se sabe cuando una relación de magnitudes es función. Gracias
Una función es una relación entre dos magnitudes, de tal manera que a cada valor de la primera le corresponde un único valor de la segunda, llamada imagen.
http://www.vitutor.com/fun/1/a_6.html