Foro de preguntas y respuestas de Matemáticas

logo beUnicoos
Los foros de unicoos se han unificado en nuestra nueva plataforma beUnicoos. Para dejar nuevas preguntas deberás hacerlo allí, donde además podrás encontrar nuevas asignaturas y herramientas para ayudarte más con tus estudios.

  • Usuario eliminado
    el 19/3/17

    me podrian ayudar con este ejercicio de coordenadas polares, necesito marcar el punto donde se hubica

    (-1,7)

    replythumb_up0 voto/sflag
    icon

    Antonius Benedictus
    el 19/3/17


    thumb_up0 voto/sflag
  • icon

    belen
    el 19/3/17

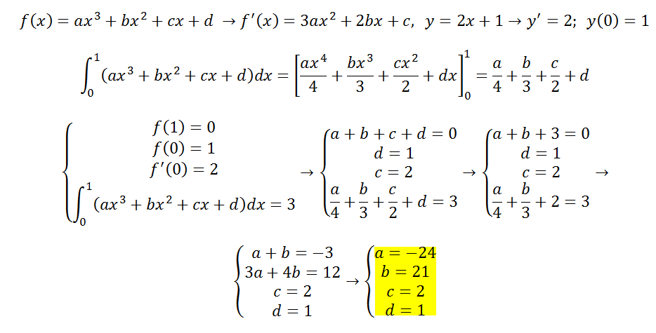
    Hola! Me podéis ayudar con este ejercicio? Solo consigo 3 ecuaciones, no se hacer la ecuación de la integral entre 0 y 1 vale 3. Adjunto foto con lo que tengo del ejercicio. Gracias!! 

    replythumb_up0 voto/sflag
    icon

    Antonius Benedictus
    el 19/3/17


    thumb_up1 voto/sflag
    icon

    belen
    el 19/3/17

    Muchísimas gracias!!

    thumb_up0 voto/sflag
  • icon

    Nicolas
    el 19/3/17

    Hola! Para hallar el área ecnerrada por estas curvas, debo hacer la integral de 0 a 1 de f(x) ? y multiplicar por 2 ?  Saludos


    replythumb_up0 voto/sflag
    icon

    Antonio
    el 19/3/17

    debes hacer la integral de 0 a 1 de f-g y después multiplicar por 2

    thumb_up0 voto/sflag
  • icon

    Nicolas
    el 19/3/17

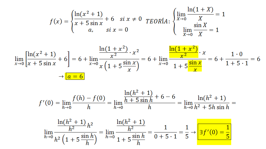
    Hola unicoos! Este ejercicio se me está dificultando, me pueden ayudar?

    Hago el limite teniendo a 0 y da indeterminado, entonces hago L'hospital, al hacer el limite me da 0.

    Entonces, se responde que "a" tiene que ser 0 para que sea continua?

    Y en el punto b) ? 

    Gracias.



    replythumb_up0 voto/sflag
    icon

    Antonius Benedictus
    el 19/3/17


    thumb_up0 voto/sflag
    icon

    Nicolas
    el 19/3/17

    Llego hasta que a=6, pero luego no entiendo el punto b.

    Gracias! 

    thumb_up0 voto/sflag
    icon

    Antonius Benedictus
    el 19/3/17

    Es la definición de derivada para x_0 =0, Nicolás.

    thumb_up0 voto/sflag
  • icon

    Andrea
    el 19/3/17

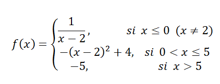
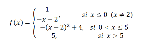
    Antonio Benito, ¿podrías ayudarme con este otro? Gracias de antemano.


    replythumb_up0 voto/sflag
    icon

    Antonius Benedictus
    el 19/3/17


    thumb_up0 voto/sflag
    icon

    Andrea
    el 19/3/17

    Muchas gracias por tu respuesta, Antonio. Si puede ser, ¿podrías indicarme el procedimiento a seguir - para futuros ejercicios - ? Gracias de antemano. Un cordial saludo.



    thumb_up0 voto/sflag
    icon

    Antonio
    el 19/3/17

    El primer trozo de función tiene como denominador -x-2 y no x-2


    thumb_up0 voto/sflag
    icon

    Andrea
    el 19/3/17

    Gracias Antonio.

    thumb_up0 voto/sflag
    icon

    Antonius Benedictus
    el 19/3/17

    Gracias, Antonio. Mala combinación de un lapsus clavis y presbicia galopante.

    Parábola convexa de vértice V(r,s)  

    y=(x-r)^2+s^2

    Y parábola cóncava:  y=-(x-r)^2+s^2

    thumb_up0 voto/sflag
  • icon

    Andrea
    el 19/3/17

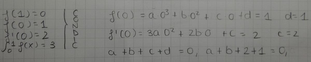
    ¿Alguien sabe cómo calcular la expresión analítica de la siguiente función? Gracias de antemano.



    replythumb_up0 voto/sflag
    icon

    Antonius Benedictus
    el 19/3/17

    Es la función "característica" o "parte entera". Se suele poner y=E(x)  o  bien: 

    thumb_up0 voto/sflag
    icon

    Andrea
    el 19/3/17

    Muchas gracias Antonio.

    thumb_up0 voto/sflag
  • icon

    Andrea
    el 19/3/17

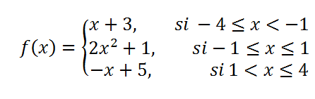
    ¿Alguien sabe cómo calcular la expresión analítica de la siguiente función a trozos?


    replythumb_up0 voto/sflag
    icon

    Antonio
    el 19/3/17

                 x+3          -4 ≤ x < -1

    f(x) =   2x+ 1     -1 ≤  1 

                5-x             1 <  4   


    thumb_up0 voto/sflag
    icon

    Antonius Benedictus
    el 19/3/17

    Las rectas:  y=mx+b  (obliga a que cada una de ellas pase por dos de los puntos señalados)

    La parábola y=ax^2+b   (pasa por (0,0) y  (1,3))

    thumb_up0 voto/sflag
    icon

    Andrea
    el 19/3/17

    Muchas gracias a los dos.

    thumb_up0 voto/sflag
  • icon

    Nicolas
    el 19/3/17

    Hola unicoos! Alguien me puede ayudar con estos ejercicios?

    En el a) estoy haciendo la integral de 0 a 4 de (f(x) - g(x)), que me da 16/3. ¿Está bien?

    En el b) estoy haciendo la integral de -2 a 2 de (g(x) - f(x)) y me da 20/3


    replythumb_up0 voto/sflag
    icon

    Antonio
    el 19/3/17

    Debes hacer un dibujo del área pedida

    En a) debes hacer dos integrales

    una desde 0 a 2 de f-0

    otra desde 2 a 4 de f-g

    thumb_up0 voto/sflag
    icon

    Nicolas
    el 19/3/17

    Esa era una duda que tenia tambien, muchas gracias, lo volvere a hacer

    thumb_up0 voto/sflag
    icon

    Antonio
    el 19/3/17

    En b)

    la integral desde 0 a 2 de f - h siendo h(x) = x-2

    y multiplicar ese resultado por 2.

    thumb_up0 voto/sflag
  • icon

    Sarqui
    el 19/3/17

    ¿Podeis ayudarme a resolver esto? ¡Gracias!

    replythumb_up0 voto/sflag
    icon

    Antonio
    el 19/3/17


    thumb_up0 voto/sflag
    icon

    Sarqui
    el 19/3/17

    Nunca habría caido en hacer ese cambio de variable :S

    ¡Muchas gracias!

    thumb_up0 voto/sflag
  • icon

    Carla
    el 19/3/17

    Holaa!! Tengo este ejercicio y no se muy bien como resolverlo. Tengo que determinar el dominio de esta función y dibujarlo. Alguien podría ayudarme? 


    Muchas gracias por adelantadooo!!!

    replythumb_up0 voto/sflag
    icon

    Antonius Benedictus
    el 19/3/17


    thumb_up1 voto/sflag
    icon

    Carla
    el 19/3/17

    Muchas Gracias Antonio Benito!!!!

    thumb_up0 voto/sflag