Hola Unicoos...
Estoy con las ecuaciones y no consigo saber cuales tengo que desplazar al otro lado...eso no me permite avanzar.
Por ejemplo, en clase hemos sacado estos números:
2×+×+2×-3 = 50 - 3
Ahí es donde no consigo saber que números desplazar del otro lado conviertiéndolos al signo contrario del que tiene... no solo me pasa en este, me pasa con todos... el resultado lo tengo... sería así:
2×+×+2× = 50-3+3
5× = 50
× = 50/5
× = 10

Se trata de despejar las incognitas (es decir las letras)en un lado de la igualdad y los valores en el otro lado de la igualdad con varias condiciones, las dos principales:
- Si tengo algo sumando y lo tengo que cambiar de lado , lo paso restando al otro lado de la igualdad
- Si tengo que cambiar algo que esta multiplicando lo paso dividiendo y viceversa( si esta dividiendo pasa multiplicando)
Ejemplo:
5x-10=0 Usando primera condicion---> 5x=10 y ahora usando la segunda condicion ----> x=10/5 que es lo mismo que x=2 ese seria el resultado
En tu caso esta muy bien resuelta! sigue así! animo
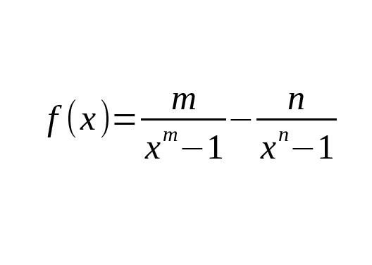
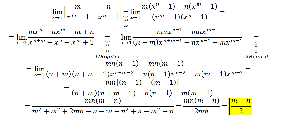
Tengo una duda sobre un límite. El ejercicio es demostrar que el límite de f(x) cuando x -> 1 es igual a (m-n)/2 siendo m y n números.![]()

Si un limite te da 0/0 o infinito/infinito entonces se puede aplicar la regla de l'Hôpital la cual dice que si un limite cuando x->a de f(x)/g(x) es igual a 0/0 o infinito/infinito, entonces
se puede decir que ese limite es igual al limite de cuando x-> a de f '(x)/g'(x) es decir : hacer el limite de cuando x tiende a 'a' de la derivada de f(x) entre la derivada de g(x) . OJO hay que hacer la derivada del numerador independiente de la del denominador , no se pueden utilizar la derivada de una division en este caso.
conjunto de vectores de R3:
A={(0,5,2), (3,1,-3), (1,4,0)}
B={(0,5,1), (2,4,0)}
C={(0,5,1), (0,3,1)}
Demuestra que A i B general em mismo subespacio vectorial de R3
Demustra que C no genera el subespacio generado per B.
Estos numeros los he inventado yo aleatoriamente, asi que a lo mejor no da lo que dice el enunciado.
Porque lo que necesito es entender como se haria paso a paso.
Muchas gracias
Alguien me podría ayudar?? Son los apartados del a al d de arriba. Los he intentado abajo, pero me quedo atascada ahi![]()

Vamos con una orientación: puedes aplicar el método de sustitución (cambio de variable) en todos los ejercicios.
a) w = x2 - 1, de donde tienes: dw = 2x*dx, y luego tienes: (1/2)dw = x*dx;
b) w = 4x3 - 3, de donde tienes: dw = 12x2*dx, y luego tienes: (1/12)dw = x2*dx;
c) w = x2 - 2x, de donde tienes: dw = (2x - 2)*dx, luego: dw = 2(x - 1)*dx, y luego tienes: (1/2)dw = (x - 1)*dx;
d) w = lnx, de donde tienes: dw = (1/x)dx.
Luego, queda para que sustituyas, y verás que luego de extraer factores constantes, tendrás para resolver integrales directas.
Haz el intento, y no dudes en volver a consultar si te resulta necesario.
Espero haberte ayudado.