Foro de preguntas y respuestas de Matemáticas

logo beUnicoos
Los foros de unicoos se han unificado en nuestra nueva plataforma beUnicoos. Para dejar nuevas preguntas deberás hacerlo allí, donde además podrás encontrar nuevas asignaturas y herramientas para ayudarte más con tus estudios.

  • icon

    Javi Santos
    el 19/3/17

    Una pregunta, a la hora de factorizar cualquier polinomio, por ejemplo 2x-x-1 , en que me tengo que fijar para poder factorizarlo?

    replythumb_up0 voto/sflag
    icon

    Ángel
    el 19/3/17

    En los elementos comunes...pon un ejemplo en el que haya que factorizar y te lo resolvemos...

    lo que tu pusiste: 

    2x-x-1= x-1

    Quedaría así la solución.


    Mírate este vídeo: http://www.unicoos.com/video/matematicas/2-eso/expresiones-algebraicas/polinomios/factor-comun


    thumb_up0 voto/sflag
  • icon

    Ignacio
    el 19/3/17

    como hago el 2do limite

    replythumb_up0 voto/sflag
    icon

    Antonio
    el 19/3/17

    El límite por el que preguntas es cero.

    Lo  resolví aplicando  L'Hôpital


    thumb_up0 voto/sflag
    icon

    Antonio
    el 19/3/17


    thumb_up0 voto/sflag
    icon

    Antonius Benedictus
    el 19/3/17


    thumb_up0 voto/sflag
  • icon

    Ezequiel
    el 19/3/17

    Hola me podrían ayudar con este ejercicio por favor? Gracias.

    replythumb_up0 voto/sflag
    icon

    Javier Marquez
    el 19/3/17

    Debemos determinar si A pertenece a la recta que pasa por P(-2,-2) y tiene como vector director a V(1,3).

    Dado el enunciado sus ecuaciones son=

    Ec vectorial = (x,y): (-2,-2) + t*(1,3) / t

    Ec paramétrica=

    x= -2+t

    y=-2 + 3t

    Entonces, debemos evaluar las coordenadas de A enel sistema, si para el mismo real t se cumplen ambas igualdades, entonces el punto A ∈ a la recta, del caso contrario, ∉ a la recta

    3 = -2+t -> t=5

    1 = -2 + 3t ->t=1

    ∴ A no pertenece a la recta


                                  


    thumb_up1 voto/sflag
  • icon

    VICTORIA FRONTERA
    el 19/3/17

  • icon

    Sergio harim del pino
    el 19/3/17

    Buenos días, alguien me podría ayudar con el ejercicio uno por favor. Muchas gracias 

    replythumb_up0 voto/sflag
    icon

    Antonius Benedictus
    el 19/3/17


    thumb_up1 voto/sflag
  • icon

    estefani
    el 19/3/17

    Buen día necesitó un favor, si me puedes sacar de duda con este ejercicio d como resolverlo... Muchas gracias saludos 

    replythumb_up0 voto/sflag
    icon

    Antonius Benedictus
    el 19/3/17


    thumb_up1 voto/sflag
  • icon

    María
    el 19/3/17

    Antonio Benito, ¿podrías ayudarme con la corrección de este examen? Muchas gracias de antemano.



    replythumb_up0 voto/sflag
    icon

    Ángel
    el 19/3/17

    8)


    thumb_up0 voto/sflag
    icon

    Ángel
    el 19/3/17

    7)


    thumb_up0 voto/sflag
    icon

    Ángel
    el 19/3/17

    4)


    thumb_up0 voto/sflag
    icon

    Ángel
    el 19/3/17

    1)

     

    thumb_up0 voto/sflag
    icon

    Ángel
    el 19/3/17

    2)


    thumb_up0 voto/sflag
    icon

    Ángel
    el 19/3/17

    5) 


    Tiene infinitas soluciones.

    thumb_up0 voto/sflag
  • icon

    Raúl Espinilla Gómez
    el 19/3/17

    Buenos días, me he registrado ayer en su página, soy nobel en todo.

    Les cuento mi situación, tengo 41 años, y me voy a matricular en el próximo curso en Grado de Ingeniería Mecánica.

    Llevo trabajando desde los 20 años, con lo cual mi nivel en cuanto a conocimientos y estudio, en todas las materias, están totalmente "oxidados", se que me supondrá mucho esfuerzo ponerme al día.

    Por todo ellos les quiero preguntar, si podrían ayudarme, o indicarme cual sería el mejor método para empezar.

    Muchas gracias por su atención, un cordial saludo.

    replythumb_up0 voto/sflag
    icon

    David
    el 17/4/17

    Te sugiero revises los vídeos de 1º de BACHILLER para empezar a ponerte al día. Despues, los de 2º de BACHLLLER.
    Si ves que necesitas más base, te tocará arrancar con los de 4º de ESO.. Un abrazo!!

    thumb_up1 voto/sflag
  • Usuario eliminado
    el 19/3/17

    Hola!

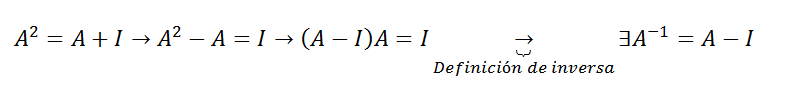
    El enunciado de un ejercicio de matrices: "Dado una matriz cuadrada A tal que A²=A+I, donde I es la matriz identidad. ¿Se puede asegurar que A admite inversa?

    No consigo imaginarme un ejemplo en el cual una matriz por sí misma tenga como resultado la misma matriz por la identidad...

    ¿Alguien podría explicármelo?

    Muchas gracias y un saludo

    replythumb_up0 voto/sflag
    icon

    Antonius Benedictus
    el 19/3/17


    thumb_up1 voto/sflag
    icon

    César
    el 19/3/17


    thumb_up0 voto/sflag
  • icon

    JUAN AMPIE
    el 19/3/17

    Hola me pueden ayudar con esto



    Una raiz de la ecuación 2x²+kx+20=0 es 4. Hallar la otra raiz y determinar k.



    Muchas gracias de antemano

    replythumb_up0 voto/sflag
    icon

    Antonius Benedictus
    el 19/3/17


    thumb_up0 voto/sflag
    icon

    César
    el 19/3/17


    thumb_up0 voto/sflag