Foro de preguntas y respuestas de Matemáticas

logo beUnicoos
Los foros de unicoos se han unificado en nuestra nueva plataforma beUnicoos. Para dejar nuevas preguntas deberás hacerlo allí, donde además podrás encontrar nuevas asignaturas y herramientas para ayudarte más con tus estudios.

  • icon

    Pilar
    el 18/3/17

    Calcular tres números en progresión aritmética que suman 27 y tal que la suma de sus cuadrados es 511/2.

    replythumb_up0 voto/sflag
    icon

    Antonius Benedictus
    el 18/3/17


    thumb_up0 voto/sflag
  • icon

    Pilar
    el 18/3/17

    Halla la razón en una sucesión geométrica cuyo segundo término es 3, y tal que A4/A6 = 24/3

    replythumb_up0 voto/sflag
    icon

    Antonius Benedictus
    el 18/3/17

    Foto del enunciado original, por favor.

    thumb_up0 voto/sflag
    icon

    Pilar
    el 18/3/17

    Es ese el enunciado original.

    thumb_up0 voto/sflag
    icon

    Antonius Benedictus
    el 18/3/17

    Pues no es consistente. Ponme una foto del texto.

    thumb_up0 voto/sflag
    icon

    Antonio
    el 18/3/17

    Sean los términos

    a2 = 3

    a3 = 3r

    a4 = 3r2

    a5 = 3r3

    a6 = 3r4

    Sabemos que a4/a6 = 24/3

    3r2/3r4=24/3

    1/r2=24/3

    r2=1/8

    r = ±1/√8

    r = ±√2/4


    thumb_up0 voto/sflag
  • icon

    Matemáticas
    el 18/3/17

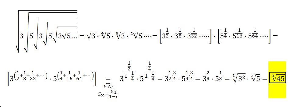
    Calcula:


    replythumb_up0 voto/sflag
    icon

    Antonius Benedictus
    el 18/3/17


    thumb_up0 voto/sflag
  • icon

    Pilar
    el 18/3/17

    ¿Cuánto da la suma de los múltiplos de 4 entre 68 y 2048?

    replythumb_up0 voto/sflag
    icon

    Antonius Benedictus
    el 18/3/17


    thumb_up0 voto/sflag
    icon

    Pilar
    el 18/3/17

    Muchas gracias Antonio.

    thumb_up0 voto/sflag
  • icon

    abc
    el 18/3/17

    Alguien me podría ayudar con este esjercicio resolviéndolo o diciéndome en que fallé?Muchas gracias


    replythumb_up0 voto/sflag
    icon

    Antonio Silvio Palmitano
    el 18/3/17

    Por lo que puedo apreciar, está todo correcto, y solamente debe tener en cuenta algunas cuestiones de notación.

    Espero haberte ayudado.

    thumb_up1 voto/sflag
    icon

    Antonius Benedictus
    el 18/3/17

    Como xa o tiña feito, vouche mandar tamén o valor medio da derivada (teorema de Lagrange):


    thumb_up1 voto/sflag
  • icon

    :)
    el 18/3/17

    hay que hacer en cada grafico el recorrido y el dominio pero no tengo ni idea de como se hace

    replythumb_up0 voto/sflag
    icon

    Antonius Benedictus
    el 18/3/17

    No consigo leer nada.

    thumb_up0 voto/sflag
    icon

    :)
    el 18/3/17

    lo hare nuevamente no le entiendo nada la profesor ni yo ni los compañeros no se le entiende nada

    thumb_up0 voto/sflag
  • icon

    Daniel Zasso Gormaz
    el 18/3/17

    No las logré entender


    replythumb_up0 voto/sflag
    icon

    Antonius Benedictus
    el 18/3/17

    Te va una, Daniel:



    thumb_up1 voto/sflag
  • Usuario eliminado
    el 18/3/17


    replythumb_up0 voto/sflag
    icon

    Antonius Benedictus
    el 18/3/17


    thumb_up0 voto/sflag
  • icon

    Daniel
    el 18/3/17


    replythumb_up0 voto/sflag
    icon

    Antonius Benedictus
    el 18/3/17

    icon

    Guillem De La Calle Vicente
    el 18/3/17

    a) Dominio = [-4,5] ; Recorrido = [-6,2]

    b) Máximo en x=-2 ; Mínimo en x=1

    c) Función creciente en: [-4,-2]U[1,5]  Función decreciente en: [-2,1]

    d) Continua en todo el dominio excepto en x=3 (discontinuidad de salto)


    thumb_up0 voto/sflag
  • icon

    Daniel
    el 18/3/17


    replythumb_up0 voto/sflag
    icon

    Antonius Benedictus
    el 18/3/17