Hola necesito dar una base del subespacio de matrices de traza 0 de M(nxn)
Si tenemos un círculo con centro O y diametros AB y CX, de forma que los segmentos OB y BC son iguales. Qué parte de la área del círculo está ombreada?
(A) 3/8
(B) 2/7
(C) 1/3
(D) 2/5
(E) 4/11

Observa que los triángulos OBC y OAX son equiláteros, y que la medida de sus ángulos interiores con vértice O es α = 60° = π/3 rad.
Luego, observa que las dos porciones sombreadas son sectores circulares congruentes, por lo que el área de la región sombreada (As) es igual al doble del área de uno de dichos sectores circulares (Asc para cada uno), y observa que cada sector circular (cuya área señalamos como Ac) corresponde a una sexta parte del círculo completo, por lo tanto tenemos:
As = 2*Asc = 2*(1/6)Ac = (1/3)*Ac,
por lo que concluimos que el área sombreada es igual a la tercera parte del área del círculo, por lo que tenemos que la opción C es la respuesta correcta.
Espero haberte ayudado.

Me encantaría ayudarte, pero no respondo dudas universitarias que no tengan que ver específicamente con los videos que ya he grabado como excepcion. O de otras asignaturas que no sean matemáticas, física y química. Lo siento de corazón… Espero lo entiendas
Ojalá algun unicoo universitario se anime a ayudarte (de hecho lo ideal es que todos los universitarios intentarais ayudaros los unos a los otros)
Buenas necesito ayuda para calcular la función a trozos de: |3x-2| lo que no entiendo son los signos por ejemplo cuando utilizamos el signo + para operar es igual a x≥2/3 lo que no entiendo es el porqué de ≥. Muchas gracias!

Recuerda la definición de función valor absoluto:
|u| =
u si u ≥ 0
-u si u < 0.
Luego, tienes la función cuya expresión es:
f(x) = |3x - 2|,
aplicas la definición (observa que en esta expresión tienes: u = 3x - 2) y queda:
f(x) =
3x - 2 si 3x - 2 ≥ 0 (haces pasaje de término y queda: 3x ≥ -2, haces pasaje de factor como divisor y queda: x ≥ 2/3)
-(3x - 2) si 3x - 2 < 0 (haces pasaje de término y queda: 3x < -2, haces pasaje de factor como divisor y queda: x < 2/3)
distribuyes el signo en la expresión de la segunda rama, y la expresión de la función queda:
f(x) =
3x - 2 si x ≥ 2/3
-3x + 2 si x < 2/3
Espero haberte ayudado.
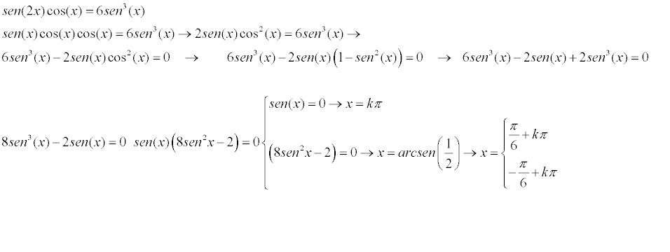
Buenas! Necesito ayuda con esta ecuación trigonométrica. Por más que le doy vueltas no me sale... Gracias!![]()

Recuerda la identidad trigonométrica del seno del doble de un ángulo: sen(2x) = 2*senx*cosx,
luego sustituyes y la ecuación queda:
2*senx*cosx*cosx = 6*sen3x,
reduces factores en el primer miembro y queda:
2*senx*cos2x = 6*sen3x,
divides por 2 en ambos miembros y queda:
senx*cos2x = 3*sen3x,
haces pasaje de término y queda:
senx*cos2x - 3*sen3x = 0,
extraes factor común y queda:
senx*(cos2x - 3*sen2x) = 0,
luego, por anulación de un producto tienes dos opciones:
1)
senx = 0, compones con la función inversa del seno en ambos miembros y queda:
x = 0, ±π, ±2π, ±3π, .... que en general pueden expresarse:
x = k*π, con k ∈ Z;
2)
cos2x - 3*sen2x = 0, haces pasaje de término y queda:
- 3*sen2x = - cos2x, haces pasajes de factores como divisores y queda:
sen2x/cos2x = 1/3, aplicas la identidad trigonométrica para la tangente en función de seno y coseno y queda:
tan2x = 1/3, luego haces pasaje de potencia como raíz y tienes dos opciones:
a)
tanx = √(1/3), que corresponde a ángulos del primero y del tercer cuadrante, cuyas expresiones generales son:
x = π/6 + 2m*π, con m ∈ Z (en el primer cuadrante),
x = 7π/6 + 2n*π, con n ∈ Z (en el tercer cuadrante);
b)
tanx = - √(1/3), que corresponde a ángulos del segundo y del cuarto cuadrante, cuyas expresiones generales son:
x = 5π/6 + 2p*π, con p ∈ Z (en el primer cuadrante),
x = 11π/6 + 2q*π, con q ∈ Z (en el tercer cuadrante).
Espero haberte ayudado.
Hola, en esta función me salen 3 asintotas verticales en los puntos donde la función no existe, es decir, x=0 x=-1 x=2 y una asintotas horizontal en y=0. La función no es continua y las discontinuidades que presenta son inevitables de tipo asintotas. Si lo dicho es correcto, no entiendo que es lo que tengo que hacer en el apartado C y E.