Foro de preguntas y respuestas de Matemáticas

logo beUnicoos
Los foros de unicoos se han unificado en nuestra nueva plataforma beUnicoos. Para dejar nuevas preguntas deberás hacerlo allí, donde además podrás encontrar nuevas asignaturas y herramientas para ayudarte más con tus estudios.

  • icon

    Daniel
    el 18/3/17


    replythumb_up0 voto/sflag
    icon

    Antonius Benedictus
    el 18/3/17

    icon

    Ángel
    el 20/3/17

    Una llamada de 3 minutos vale 0.5 euros con cualquiera de las dos compañías

    Para saber cuanto vale media hora tendrías que sustituir simplemente en la ecuación lineal y=mx+n

    Para llamadas de menos de dos minutos elegiriamos la B y la A para llamadas largas (es más barato así)

    thumb_up0 voto/sflag
  • icon

    Pedro
    el 18/3/17

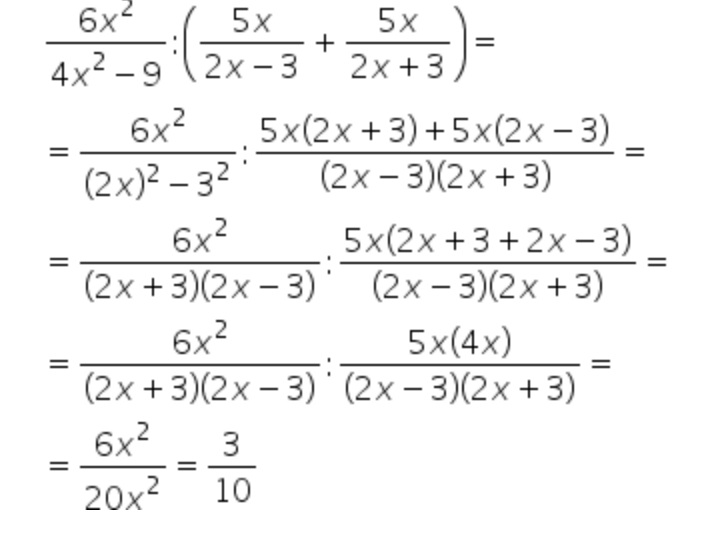
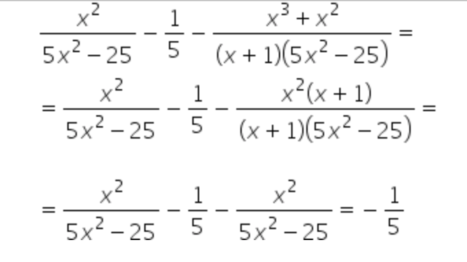
    Ayuda con este ejercicio. Gracias de antemano.


    replythumb_up0 voto/sflag
    icon

    Antonio
    el 18/3/17


    thumb_up0 voto/sflag
    icon

    Antonio
    el 18/3/17


    thumb_up0 voto/sflag
  • icon

    Cristian Sanchez Garcia
    el 18/3/17

    Buenas tardes, tengo una duda en el ejercicio 19 ya que el triángulo que menciona es obtusángulo y no rectángulo con lo cual me ha trastocado bastante...Muchisimas gracias por la ayuda.

    replythumb_up0 voto/sflag
    icon

    Antonio
    el 18/3/17

    Trigonometria- Teorema del seno

    La solución es la d) 5√2

    thumb_up1 voto/sflag
    icon

    Cristian Sanchez Garcia
    el 18/3/17

    Muchisimass graciasss

    thumb_up0 voto/sflag
  • icon

    Paula
    el 18/3/17

    En una clase hay 5 chicos más que chicas. Sabemos que en total son algo más de 20 estudiantes, pero no llegan a 25. ¿Cuál puede ser la composición de la clase?

    replythumb_up0 voto/sflag
    icon

    Antonius Benedictus
    el 18/3/17

    x (chicas)

    x+5 (chicos)

    x+(x+5)>20

    x+(x+5)<25

    2x>15

    2x<20

    x>7.5

    x<10

    Puede ser:  x=8 o x=9

    8 chicas y 13 chicos. O bien:

    9 chicas y 14 chicos.

    thumb_up0 voto/sflag
    icon

    Paula
    el 18/3/17

    Muchas gracias Antonio.

    thumb_up0 voto/sflag
  • icon

    Paula
    el 18/3/17


    replythumb_up0 voto/sflag
    icon

    Antonio
    el 18/3/17


    thumb_up0 voto/sflag
    icon

    Antonio
    el 18/3/17


    thumb_up0 voto/sflag
  • icon

    Elizabeth Guillen
    el 18/3/17

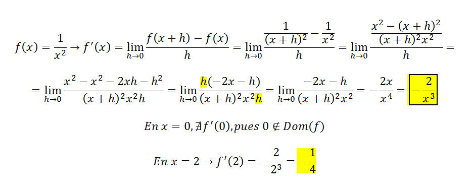
    Hallar la derivada a partir de la definición con xo= 2 y xo= 0 de f(x)= 1/x2

    replythumb_up0 voto/sflag
    icon

    Antonius Benedictus
    el 18/3/17


    thumb_up0 voto/sflag
  • Usuario eliminado
    el 18/3/17

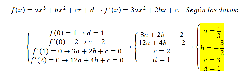
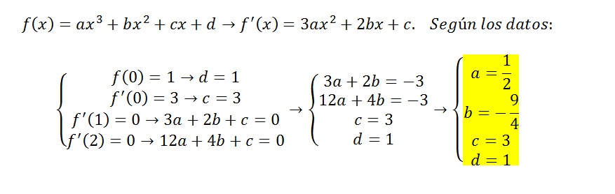
    En la función f (x) = ax3   + bx2  +cx + d    se sabe que f(0) = 1 y que la recta tangente en x=0 tiene pendiente m=2 i tiene dos extremos en x=1 i x=2. ¿Calcula a,b,c i d?

    replythumb_up0 voto/sflag
    icon

    Antonius Benedictus
    el 18/3/17


    ET (conjunción copulativa latina) da:

    ET (français), E (galego, português, italiano), ETA (euskara), I (catalá), (español),

    thumb_up1 voto/sflag

    Usuario eliminado
    el 18/3/17

    No entiendo de donde sale el c=3 , no debería ser c=2, ya que la pendiente es 2 y no 3.

    thumb_up0 voto/sflag
    icon

    Antonius Benedictus
    el 18/3/17

    He transcrito mal los datos. He puesto m=3. La presbicia me ha vuelto a jugar una mala pasada. Te lo corrijo:


    thumb_up1 voto/sflag

    Usuario eliminado
    el 18/3/17

    Perfecto, gracias Antonio.

    thumb_up0 voto/sflag
  • icon

    Pilar Muñoz
    el 18/3/17

    Buenas tardes, tengo una duda sobre un ejercicio de probabilidad, el cual dice así: 'El 47% de la población española deja su residencia habitual para ir de vacaciones de verano, de éstos sólo el 5% sale al extranjero. No obstante hay un 1% de españoles que no estando de vacaciones sale al extranjero en verano. Elegido un español al azar, calcular la probabilidad de que viaje al extranjero en el verano.

    Entonces nos dan p(V)= 47, p(V∩E)=5 y p(V∩E)=1 y nos piden hallar p(E), ¿no? El problema que tengo es que no se exactamente como sacarlo. He pensado en usar p(V∪E) = p(V) + p(E) - p(V∩E) despejando p(E) pero no nos dan la unión, entonces... ¿cómo lo puedo resolver?


    replythumb_up0 voto/sflag
    icon

    Antonius Benedictus
    el 18/3/17

    Se trata del teorema de la Probabilidad Total:


    thumb_up1 voto/sflag
  • icon

    lbp_14
    el 18/3/17

    Hola Unicoos, me corrigen este ejercicio? (la representación gráfica es errónea, la hice solo para plantear el problema) 

    Muchas gracias. 

    replythumb_up0 voto/sflag
    icon

    César
    el 18/3/17


    thumb_up1 voto/sflag
  • icon

    lbp_14
    el 18/3/17

    Hola Unicoos, me corrigen este ejercicio? (la representación gráfica es errónea, la hice solo para plantear el problema) 

    Muchas gracias. 

    replythumb_up0 voto/sflag
    icon

    César
    el 18/3/17


    thumb_up0 voto/sflag