En la siguiente función dada por una gráfica indica:
a) Dominio
b) Continuidad
c) Corte con los ejes
d) Monotonía
Cuatro de las cinco imágenes son parte de la grafica de la misma función cuadrática. ¿Cuál de ellas no lo es?
En esta figura se pueden ver 10 islas conectadas entre ellas mediante 15 puentes. ¿Cuál es el número mínimo de puentes que hay que eliminar para que sea imposible ir de la isla A a la isla B?
Parece ser a simple vista que, por ejemplo, con que quites los 4 puedes que llegan(salen) a(de) A, a...se quedan incomunicados
https://es.wikipedia.org/wiki/Problema_de_los_puentes_de_K%C3%B6nigsberg
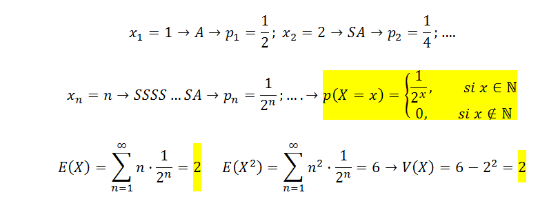
Hola, buenas tardes. Estoy confundido con este problema de probabilidad:
Cómo obtengo la función de probabilidad de X?, a que se refiere? y sobre el valor esperado y varianza de X?? , alguien me puede ayudar?
Gracias de antemano !!
Anna ha calculado la suma de los ángulos de un polígono convexo. El resultado que obtiene es 2017º, pero se da cuenta que, al hacer los cálculos, se ha descuidado uno de los ángulos. ¿Cuánto mide el ángulo que falta?
A) 37º
B) 97º
C) 53º
D) 143º
E) 127º

Recuerda que la expresión para la suma de los ángulos interiores de un polígono de n lados es:
S = 180°*(n - 2),
luego, tienes que la suma debe ser un múltiplo natural de 180°, por lo que investigamos entre cuáles múltiplos de 180° se encuentra el valor obtenido por marta (2017°), al que falta agregar la medida del ángulo que ella omitió (x):
180°*11 = 1980°
180°*12 = 2160°,
luego planteamos:
2017° + x = 2160°, hacemos pasaje de término y queda:
x = 143°, que es la medida del ángulo omitido.
Observa también que para calcular el número de lados del polígono, reemplazamos en la ecuación de la suma de los ángulos interiores y queda:
1260° = 180°*(n - 2), dividimos por 180° en ambos miembros de la ecuación y queda:
12 = n - 2, hacemos pasaje de término y queda:
14 = n, que es la cantidad de lados del polígono.
Espero haberte ayudado.