Foro de preguntas y respuestas de Matemáticas

logo beUnicoos
Los foros de unicoos se han unificado en nuestra nueva plataforma beUnicoos. Para dejar nuevas preguntas deberás hacerlo allí, donde además podrás encontrar nuevas asignaturas y herramientas para ayudarte más con tus estudios.

  • icon

    Rodolfo Catunta
    el 17/3/17

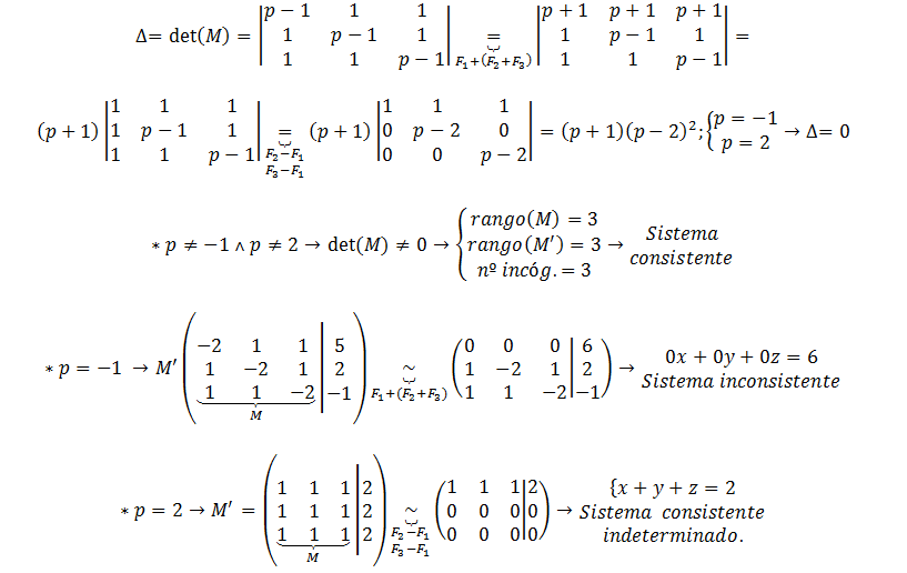
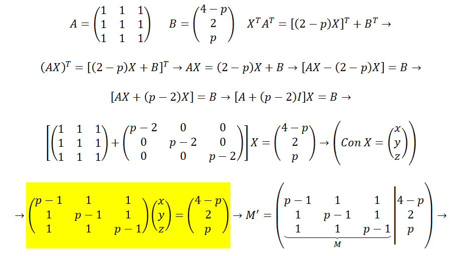
    Sobre el tema de Matrices, no me salen estos dos ejercicios




    replythumb_up0 voto/sflag
    icon

    Antonius Benedictus
    el 17/3/17



    thumb_up1 voto/sflag
  • icon

    CANDYPOP ?S
    el 17/3/17

    He suspendido mates y tengo que recuperar el (sobre todo) tema de identidades notables y expresiones algebraicas. Gracias a tus videos lo entiendo todo mejor gracias profe.

    P.D: Que consejo me darías para aprobar??


    replythumb_up0 voto/sflag
    icon

    Antonius Benedictus
    el 17/3/17

    ¡Practicar y practicar, por supuesto!

    ¡Ánimo, Candy!

    thumb_up0 voto/sflag
  • icon

    Yohan Diaz Tallada
    el 17/3/17

    Dados los puntos A(1,0,1) y B(0,2,0) y el plano ∏: x-2y-z-7=0, determinar el plano que es perpendicular al plano Π y pasa por los puntos A y B, agradeceria mucho su ayuda y con una explicacion breve si es posible.


    replythumb_up0 voto/sflag
    icon

    Antonius Benedictus
    el 17/3/17


    thumb_up0 voto/sflag
    icon

    Antonius Benedictus
    el 17/3/17

    Hay una errata en un símbolo:


    thumb_up0 voto/sflag
  • icon

    Alberto Luque Rivas
    el 17/3/17

    Me han ofrecido el hacer un problema voluntario para la asignatura de álgebra  lineal en la carrera de ingeniería informática.

    La cosa es que sobre todo piden un enunciado original sobre todo y me puntúan con un buen pechizco si les gusta el problema.

    La cosa es usar sistemas de ecuaciones lineales para un problema de aplicación, ya hemos hecho los típicos del control del flujo de coches en una zona o para calcular las principales magnitudes de medida usadas en circuitos electrónicos.

    ¿Alguna idea de un buen enunciado?

    replythumb_up0 voto/sflag
    icon

    Ángel
    el 17/3/17

    Pues no se...gestionar los semáforos de un pueblo, porque de una ciudad tendrias que meter bases de datos (que lo verás más adelante) y cualquier fábrica puede valer

    Te comento el caso concreto de una almazara (si eres andaluz del Sur incluso les puede gustar todavía más):

    Programas funcionamiento de transportadoras, hasta que peso determinado se tiene que llenar un deposito para darle la orden de abrir la válvula y pasar al siguiente paso del proceso....litros de lavado, soplado con cierta intensidad, luego una vez la aceituna limpia, tendras que programar qué grado de concentracion de aceite es el mínimo aceptado....todo esto si lo simplificas podrás hacerlo con álgebra lineal y bucles simples (if, else, elseif, for, while y poco más)


    Si te ha gustado la idea de lo del aceite y te conviene y para hacerlo en plan "pro" hay mucha mucha información acerca del tema (proceso todo lo detallada que quieras), que siempre ayuda para que te fijes la meta que quieras

    thumb_up2 voto/sflag
    icon

    Antonius Benedictus
    el 17/3/17

    http://webpersonal.uma.es/~morillas/trAnalisisI-O.pdf

    thumb_up1 voto/sflag
  • icon

    Deividfost
    el 17/3/17

    Si a0=1 siempre; y 0a=0 siempre, ¿Qué es 00

    replythumb_up0 voto/sflag
    icon

    Ángel
    el 17/3/17

  • icon

    Lia Grm
    el 17/3/17

    Buenas tardes. Por favor, ¿ me podrían ayudar con este ejercicio? No sé cómo solucionarlo. Es el siguiente: ¿En qué base es cierto que el cuadrado de 43  es 3211? . Muchas gracias.

    replythumb_up0 voto/sflag
    icon

    Antonius Benedictus
    el 17/3/17

    ¿Puedes subir foto del enunciado original, por favor?

    thumb_up0 voto/sflag
    icon

    César
    el 17/3/17

    Creo que has copiado mal el enunciado a mi me sale esto

    thumb_up2 voto/sflag
    icon

    Lia Grm
    el 18/3/17

    He revisado hoy el enunciado. Efectivamente, he realizado mal la pregunta. El resultado debe ser 2311. Disculpad.

    thumb_up0 voto/sflag
  • icon

    Matemáticas
    el 17/3/17
    flag


    replythumb_up0 voto/sflag
    icon

    Antonius Benedictus
    el 17/3/17

    ¿Vas en serio, Matemáticas?

    thumb_up0 voto/sflag
    icon

    Matemáticas
    el 17/3/17

    Antonio, lo estoy intentando hacer con sumatorios!!! No simplemente multiplicar y dividir, pero no se si se puede con sumatoria!


    thumb_up0 voto/sflag
    icon

    Ángel
    el 17/3/17

    No sé si te refieres  esto...

    [(20*10)+(20*7)]/10=

    [(20*10)/10] + [(20*7)/10]=

    20 + 14=

    (2*10)+(1*10+4)=

    (2*10)+(1*10)+4=

    (3*10)+4

     34

    thumb_up1 voto/sflag
    icon

    Ángel
    el 17/3/17


    thumb_up1 voto/sflag
    icon

    Antonius Benedictus
    el 17/3/17

  • icon

    Alejandro Expósito
    el 17/3/17

    Hola me gustaría que hicieses un video de proporcionalidad compuesta del método por reducción a la unidad y otro de problemas de escalas me vendría muy bien

    replythumb_up0 voto/sflag
  • icon

    :)
    el 17/3/17

    consulta es inyectiva, biyectivao sobreyectivo gracias no le entidi nada al profe

    replythumb_up0 voto/sflag
    icon

    Ángel
    el 17/3/17

    Yo, tal como está la pizarra, tampoco :)

    ¿Tomaste apunte del ejercicio? Si es así mándalo para aclararnos 

    thumb_up1 voto/sflag