Foro de preguntas y respuestas de Matemáticas

logo beUnicoos
Los foros de unicoos se han unificado en nuestra nueva plataforma beUnicoos. Para dejar nuevas preguntas deberás hacerlo allí, donde además podrás encontrar nuevas asignaturas y herramientas para ayudarte más con tus estudios.

  • icon

    Alvaro González de Dios
    el 14/3/17

    Hola, si en el tema de vectores nos mandan conseguir el producto escalar de dos vectores sabiendo los módulos, ¿Cómo consigues el coseno del ángulo?

    Gracias!

    replythumb_up0 voto/sflag
    icon

    Antonius Benedictus
    el 14/3/17

    Solo con los módulos no es suficiente. Precisas el coseno del ángulo que forman u otro dato que te conduzca  a éste. Si tienes algún ejercicio "problemático", súbelo.

    thumb_up1 voto/sflag
  • Usuario eliminado
    el 14/3/17

    Hola

    Con este ejercicio, me indican que elevando al cuadrado la expresión del cuadrado rojo quedará como en el cuadrado verde.



    ¿Podríais indicarme un paso a paso?

    Muchas gracias!

    replythumb_up0 voto/sflag
    icon

    Guillem De La Calle Vicente
    el 14/3/17

    No se cumple que elevando al cuadrado te queda la de abajo. Está mal porque si elevas al cuadrado la primera expresión da:  0.06698729811   y la segunda expresión da: 0.2588190451. Como vemos que son diferentes, no se cumple.


    thumb_up0 voto/sflag
    icon

    Antonio
    el 14/3/17

    Lee bien el enunciado

    debes elevar ambos al cuadrado y comprobar que son iguales

    thumb_up0 voto/sflag
    icon

    Antonio
    el 14/3/17


    thumb_up0 voto/sflag
  • icon

    Diego Martínez
    el 14/3/17

    Si hago la inversa de -7/-14=14/7?


    replythumb_up0 voto/sflag
    icon

    Antonio
    el 14/3/17

    si

    thumb_up1 voto/sflag
    icon

    Ángel
    el 14/3/17



    Fracción original: -7/-14

    Inversa: -14/-7=14/7= 2


    Comprobamos que da como resultado la unidad el multiplicar la fracción por la inversa:  (-7/-14)*2= -14/-14= 1

    thumb_up2 voto/sflag
  • icon

    Marest
    el 14/3/17

    Me pueden ayudar por favor?

    1.El precio de un anillo y su estuche es de 102 euros y el anillo vale 100 euros más que el estuche. ¿Cuánto vale cada uno?


    2.- Los 5500 euros en premios de una carrera se reparten de forma inversamente proporcional a las posiciones de llegada. ¿Cuánto le toca a cada uno de los tres primeros clasificados?

    replythumb_up0 voto/sflag
    icon

    Ángel
    el 14/3/17

    x=precio anillo 
    x-100=precio estuche          <----------el anillo vale 100 euros más que el estuche
    x+x-100=102        <---------------El precio de un anillo y su estuche es de 102 euros
    2x=202 
    x=101 € cuesta el anillo 
    x-100=precio estuche=101-100 = 1 € cuesta el estuche 


    thumb_up0 voto/sflag
    icon

    Antonio
    el 14/3/17

    1.-

    Sea el precio del anillo x

    y el de su estuche y euros

    x+y=102        pues ambas cosas cuestan 102 euros

    x=100+y        pues el anillo cuesta 100 euros más que su estuche

    Se resuelve el sistema

    x=101

    y=1

    El resultado quedaría

    El anillo cuesta 101 euros y su estuche 1 euro




    thumb_up0 voto/sflag
    icon

    Antonio
    el 14/3/17

    2.-

    Al ser el reparto inversamente proporcional con respecto a su orden de llegada

    el primero ganará una cantidad dividida por 1

    el segundo ganará una cantidad dividida por 2

    y el tercero ganará una cantidad dividida por 3

    y la suma de las tres cantidades corresponderá al premio en total

    x/1 + x/2 +x/3 = 5500

    resolvemos esta ecuación

    6x+3x+2x=33000

    11x=33000

    x=3000

    esa cantidad es de 3000 euros, por lo que:

    El primero gana 3000 euros

    el segundo 1500 euros

    y el tercero 1000 euros


    thumb_up0 voto/sflag
  • icon

    Endo
    el 14/3/17

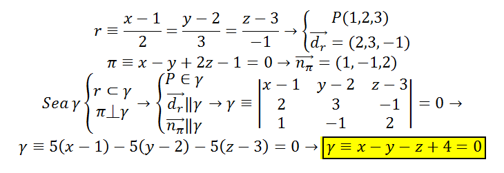
    Tengo este problema de geometría de un examen de una prueba de acceso  


    replythumb_up0 voto/sflag
    icon

    Antonius Benedictus
    el 14/3/17


    thumb_up1 voto/sflag
    icon

    Endo
    el 14/3/17

    Gracias Antonio, no se me había ocurrido que el punto de corte con el plano fuese el de la ecuación continua y que el vector de esta servía por paralelismo.


    thumb_up0 voto/sflag
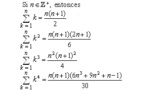
  • icon

    Matemáticas
    el 14/3/17
    flag


    replythumb_up0 voto/sflag
    icon

    Jonathan Sánchez Millones
    el 16/3/17

    me sale -1089 :,v xD

    thumb_up0 voto/sflag
    icon

    Ángel
    el 16/3/17

    Mal el resultado, Jonathan


    (-10+5)3+ (-9+5)3+ (-8+5)3+ (-7+5)3+ (-6+5)3+ (-5+5)3+ (-4+5)3+ (-3+5)3+ (-2+5)3=

    (-5)3+ (-4)3+ (-3)3+ (-2)3+ (-1)3+ (0)3+ (1)3+ (2)3+ (3)3=

    -125-64-27-8-1+0+1+8+27=

    -225+36=

    -189

    thumb_up0 voto/sflag
    icon

    Jonathan Sánchez Millones
    el 21/3/17

    demuestralo :v xD

    thumb_up0 voto/sflag
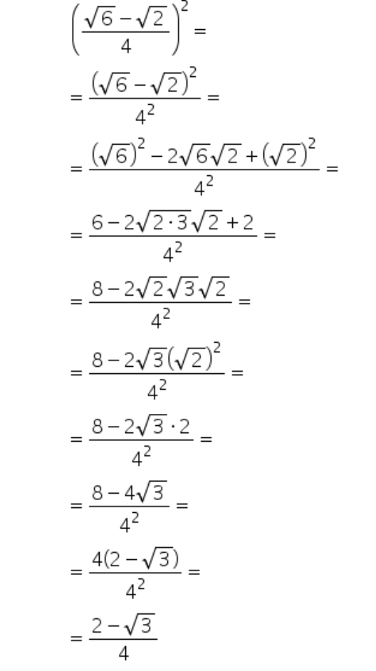
  • icon

    Jordi Ramos
    el 14/3/17

    Hola amigo de unicoos me ayudan con este ejercicio, no entiendo como resolverlo...

    replythumb_up0 voto/sflag
    icon

    Antonius Benedictus
    el 14/3/17


    thumb_up1 voto/sflag
    icon

    Antonio
    el 14/3/17

    (B+C)D-BX=C+B

    BD+CD-BX=C+B

    BD+B-BX=C+B

    BD-BX=C+B-B

    BD-BX=C

    BD-C=BX

    ABD-AC=ABX

    ID-AC=IX

    D-AC=X

    X=D-AC


    thumb_up1 voto/sflag
  • Usuario eliminado
    el 14/3/17

    No entiendo este sistema, no se resolverlo. Lo puedes hacer porfavor?

    replythumb_up0 voto/sflag
    icon

    Antonius Benedictus
    el 14/3/17
    flag

    Tal cual, sale esto. Pon foto del enunciado original.


    thumb_up0 voto/sflag
  • icon

    Matemáticas
    el 14/3/17
    flag


    replythumb_up0 voto/sflag
    icon

    César
    el 14/3/17

    Como el de antes pero teneindo en cuenta que....

    Se demuestran por induccion 

    thumb_up0 voto/sflag