Foro de preguntas y respuestas de Matemáticas

logo beUnicoos
Los foros de unicoos se han unificado en nuestra nueva plataforma beUnicoos. Para dejar nuevas preguntas deberás hacerlo allí, donde además podrás encontrar nuevas asignaturas y herramientas para ayudarte más con tus estudios.

  • icon

    Armando Buele
    el 14/3/17

    Hola que tal. Me podrían ayudar con este límite por definición.  Lo estuve realizando pero al gráfica con valores de epsilon y delta no cuadra. Ayuda por favor. 


    replythumb_up0 voto/sflag
    icon

    Antonius Benedictus
    el 14/3/17


    thumb_up1 voto/sflag
  • icon

    Hugo
    el 14/3/17

    Hola unicoos:

    Alguien me podria explicar que es una ecuacion binonica?

    replythumb_up0 voto/sflag
    icon

    Antonius Benedictus
    el 14/3/17

    Hugo, pon foto del original en su contexto. O en qué lección de tu libro figura eso.

    thumb_up1 voto/sflag
    icon

    Ángel
    el 15/3/17

    Una ecuación binómica (está compuesta por dos elementos: a y b) se resuelve normalmente con las identidades notables


    thumb_up1 voto/sflag
    icon

    Ángel
    el 15/3/17


    thumb_up1 voto/sflag
    icon

    Ángel
    el 15/3/17


    thumb_up1 voto/sflag
    icon

    Ángel
    el 15/3/17


    thumb_up1 voto/sflag
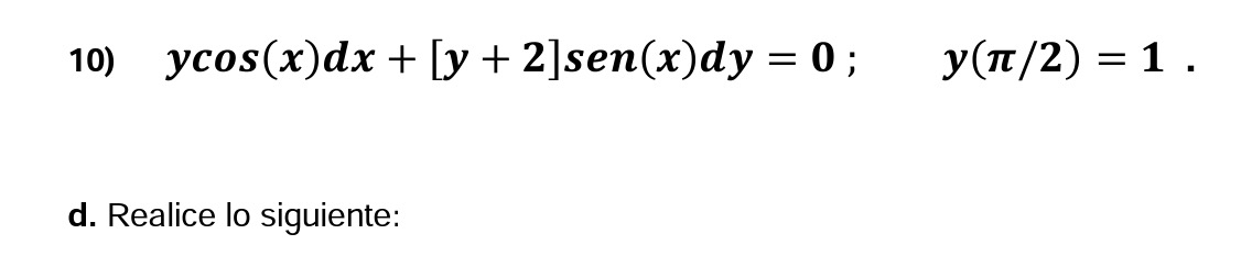
  • icon

    andres
    el 14/3/17

    Me ayudarían con este, la tengo que resolver por el método de exacta o no exacta 

    replythumb_up1 voto/sflag
    icon

    Antonius Benedictus
    el 14/3/17


    thumb_up0 voto/sflag
  • icon

    Jan KO
    el 14/3/17

    Os pido vuestra ayuda hermanos!!! Me estoy rompiendo La cabeza desde ayer con el mismo ejercicio. O es que esto es imposible??? Me refiero al Punto 4b) 

    Hermanos necesito de vuestra ayuda!!! 

    replythumb_up0 voto/sflag
    icon

    Guillem De La Calle Vicente
    el 14/3/17


    thumb_up1 voto/sflag
    icon

    Miguel Angel Janko Quispe
    el 14/3/17

    me dices como haces para resolver en ese pizarron o pizarra! grcias!!

    thumb_up0 voto/sflag
  • Usuario eliminado
    el 14/3/17

    Alguien podría ayudarme con este problema de inecuaciones?

    La empresa Miesa tiene unos costes de producción fijos de 2400€, más 1,2€ por cada unidad de producto fabricado. El precio de venta de cada unidad de producto es 1,45€. A partir de cuantas unidades vendidas tiene beneficios? 

    replythumb_up0 voto/sflag
    icon

    Jesus Diaz Castro
    el 14/3/17

    2400 + 6x/5 < 29x/20

    48000 < 139x/5

    240000 < 139x

    x > 240000 / 139


    Yo entiendo que es así. Saludos

    thumb_up0 voto/sflag
  • Usuario eliminado
    el 14/3/17

    Alguien me podía ayudar con este problema de inecuaciones?

    La compañía Telestar tiene un abono de teléfono de 5€ al mes y 0,5€ por minuto de llamada. La compañía Vodomena tiene un abono de 16€ al mes y 0,3€ por minuto de llamada. A partir de cuantos minutos de llamada interesará escoger Vodomena?

    replythumb_up0 voto/sflag
    icon

    Antonius Benedictus
    el 14/3/17

    Dos rectas:

    TELESTAR:  y=0.5x+5

    VODOMENA:  y=0.3x+16

    Resuelve y razona el resultado.

    thumb_up0 voto/sflag
  • icon

    Lucía Sánchez
    el 14/3/17
    flag


    replythumb_up0 voto/sflag
    icon

    David
    el 17/4/17

    ¿y tu duda es?.. Cualquier funcion que cumpla esas condiciones... Y no debería resultarte dificil con un poco de imaginacion..
    ¿Lo intentas y nos cuentas?

    thumb_up0 voto/sflag
  • icon

    Judit
    el 14/3/17

    En la derivacion implicita cual era la pendiente de la recta tangentr a una curva?? m=f'(x)=y'??


    replythumb_up0 voto/sflag
    icon

    Antonius Benedictus
    el 14/3/17

    Tal cual. 

    thumb_up1 voto/sflag
  • icon

    Judit
    el 14/3/17

     me podrían ayudar?? Tengo un lio que no me entiendo ni yo

    replythumb_up0 voto/sflag
    icon

    Antonius Benedictus
    el 14/3/17

    ¿Puedes poner foto del enunciado original?

    thumb_up1 voto/sflag
    icon

    Judit
    el 14/3/17

    Aplicando el teorema de Rolle, demuestra que f(x)=x^4-8x^2+k no puede tener más de 1 raíz en [0,2] para cualquier k que pertenezca a R

    thumb_up0 voto/sflag
  • icon

    Arnau Planas
    el 14/3/17

    Buenas tardes. Me podrían explicar como hacer este ejercicio:

    Una recta paralela a  r: x-2y-6=0 

    Calcular el punto simétrico de A (3,0) respeto a r.


    replythumb_up0 voto/sflag
    icon

    Antonius Benedictus
    el 14/3/17


    thumb_up0 voto/sflag