Foro de preguntas y respuestas de Matemáticas

logo beUnicoos
Los foros de unicoos se han unificado en nuestra nueva plataforma beUnicoos. Para dejar nuevas preguntas deberás hacerlo allí, donde además podrás encontrar nuevas asignaturas y herramientas para ayudarte más con tus estudios.

  • icon

    Carla
    el 14/3/17

    ¿Alguien podría ayudarme a resolver este ejercicio? Dice así:

    1. En unos grandes almacenes se ofrece en la primera semana de septiembre una promoción para la vuelta a las clases. La promoción consiste en que todos los artículos incluidos en la misma (cuadernos, cajas de lápices, sudaderas, camisetas, pantalones de deporte, etc.) tienen un precio único de 5 € cada artículo. Una madre acude al comercio para comprar material para sus tres hijos.

      Si no se quiere gastar ni menos de 100 euros ni más de 200 y, además, el hijo mayor necesita tres artículos menos que el doble de los que necesita el mediano, y el mediano el doble de los que precisa el pequeño más otras dos cosas, ¿cuántos artículos podrá comprar a cada hijo? ¿Cuál es el intervalo de dinero que se gastará?



    replythumb_up0 voto/sflag
    icon

    Ángel
    el 15/3/17

    Manda el enunciado original y te ayudaremos 

    thumb_up1 voto/sflag
    icon

    Carla
    el 16/3/17

    Ese es el enunciado original


    thumb_up0 voto/sflag
  • icon

    Alejandra Martínez Romero
    el 14/3/17
    flag

    Te dejo una duda por aquí (me harías un gran favor resolviendo el ejercicio) f(y,x)=cx(y-x)exp(-y). 0<=x<=y<infinito. Qué valor tiene c? y la marginal de x? Es que no se si tengo mal los límites de integración o simplemente me lío. Muchas gracias de antemano.

    replythumb_up0 voto/sflag
    icon

    Guillem De La Calle Vicente
    el 14/3/17

    ¿Qué  has hecho hasta ahora?

    thumb_up0 voto/sflag
    icon

    Guillem De La Calle Vicente
    el 14/3/17

    ¿Qué límites de integración tiene?

    thumb_up0 voto/sflag
    icon

    Guillem De La Calle Vicente
    el 14/3/17

    Tengo la sensación de que omitió algo muy importante para el problema. Fue f (y, x). Se supone que es una función de densidad de probabilidad por casualidad?

    thumb_up0 voto/sflag
    icon

    Alejandra Martínez Romero
    el 14/3/17

    claro, es una función de densidad. Yo hice doble integral de o a y y de x a infinito. Eso lo igualo a 1 para despejar la c pero me da infinito cuando debería ser un valor condreto para luego poder hacer la esperanza.

    thumb_up0 voto/sflag
    icon

    Ángel
    el 15/3/17

    Manda una foto del enunciado original

    thumb_up0 voto/sflag
  • icon

    Facundo Meier
    el 14/3/17

    Hola profesores. Una consulta, me dieron esta consigna, si la función f(X)=(-x^2)-4x+5 presenta una discontinudad en x=3, entonces f no tiene extremo relativo en este valor. En este caso, tengo que analizar los extremos mediante el criterio de la primera o segunda derivada?.

    Gracias

    replythumb_up0 voto/sflag
    icon

    Antonius Benedictus
    el 14/3/17

    Facundo:  Una función polinómica es continua en toda la recta real.

    thumb_up0 voto/sflag
  • icon

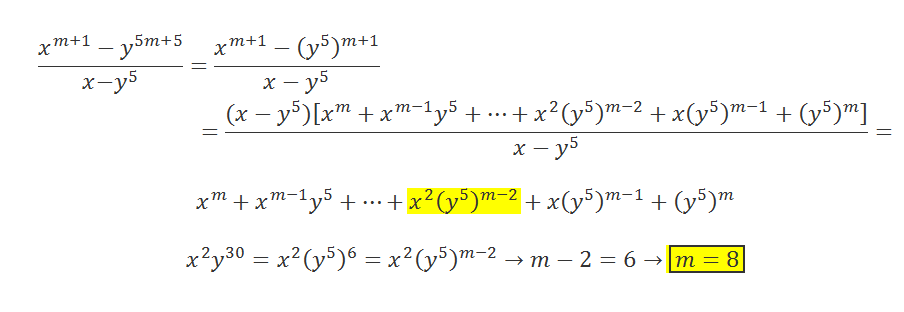
    Daniel Macchiavello
    el 14/3/17

    Amigos porfavor ayuda en este problema de cocientes notables 

    replythumb_up0 voto/sflag
    icon

    Antonius Benedictus
    el 14/3/17


    thumb_up1 voto/sflag
    icon

    Daniel Macchiavello
    el 14/3/17

    muchas gracias antonio

    thumb_up0 voto/sflag
  • icon

    Daniel Macchiavello
    el 14/3/17

    Hola amigos me pueden ayudar en este problema y gracias de antemano 


    replythumb_up0 voto/sflag
    icon

    Antonius Benedictus
    el 14/3/17


    thumb_up1 voto/sflag
  • icon

    Elena
    el 14/3/17

    Hola, me podrías ayudar a resolverlo? Te lo agradecería mucho.

    Calcula la ecuación de una recta que tiene de pendiente 6 y corta al eje de ordenadas 3 unidades por debajo del origen. Solución: (y= 6x-3) 

    replythumb_up0 voto/sflag
    icon

    Eliana
    el 14/3/17

    Si la recta corta al eje de ordenadas 3 unidades por debajo del origen, lo hace en el punto (0, -3)

    Por tanto, buscas la ecuación de la recta que pasa por el punto (0,-3) y tiene pendiente 6.

    Sustituyendo en la ecuación punto-pendiente:  y - a2=m (x - a1)

    Donde m es la pendiente y a1 y a2 las coordenadas del punto por el que pasa la recta, tendrías:

    y - (-3) = 6 ( x - 0)

    y+3=6x

    y= 6x -3


    Un saludo!


    thumb_up1 voto/sflag
  • icon

    Isaac Chocron Cohen
    el 14/3/17
    flag

    Alguien me puede ayudar? He encontrado un problema que no se como resolver 

    el enunciado dice asi: resuelvelos siguientes logaritmos

    1  )y=x2ln2x

    2)  y=x2e-2x

    3)  y= ln3x-3lnx

    4)  y=ln(4-x2)

    gracias de antemano

    replythumb_up0 voto/sflag
    icon

    Ángel
    el 14/3/17

    Enunciado original, por favor

    thumb_up0 voto/sflag
  • icon

    Alba
    el 14/3/17

    Hola unicoos! He conseguido llegar a esta solución, pero no está tabulado en las tablas... por lo que me supongo que algo está mal, pero no entiendo qué.

    Gracias!


    replythumb_up0 voto/sflag
    icon

    Antonius Benedictus
    el 14/3/17

    Atenta, alba:

    La p de la binomial no es p(C), sino p(C/T), que calculas por Bayes.

    El resto del procedimiento es correcto.

    thumb_up0 voto/sflag
  • icon

    Ximena Gómez
    el 14/3/17

    Hola, me podrían ayudar con la integral de (sen x)/x.

    gracias.

    replythumb_up0 voto/sflag
    icon

    Antonius Benedictus
    el 14/3/17

    No es resoluble por integración elemental (seno integral).

    https://es.wikipedia.org/wiki/Integral_senoidal

    thumb_up1 voto/sflag
  • icon

    Rafael Serrano
    el 14/3/17

    Me quedé atascado me echáis una mano en este sistema matricial 

    El desarrollo si se hacerlo es en las dos incógnitas donde tengo dudas

    6X=B-3AX

    Gracias

    replythumb_up0 voto/sflag
    icon

    Antonius Benedictus
    el 14/3/17


    thumb_up1 voto/sflag