Foro de preguntas y respuestas de Matemáticas

logo beUnicoos
Los foros de unicoos se han unificado en nuestra nueva plataforma beUnicoos. Para dejar nuevas preguntas deberás hacerlo allí, donde además podrás encontrar nuevas asignaturas y herramientas para ayudarte más con tus estudios.

  • icon

    Luis Felipe Mera Grandas
    el 12/3/17

    Hola.

    Disculpen la molestia pero me podrían ayudar con este ejercicio de estadistica.

    Una persona compra tres rifas, las probabilidades de ganar el premio en cada una de ellas es de 0.03, 0.05 y 0.07. ¿Cuál es la probabilidad de ganar en al menos una de ellas?

    No se que tipo de distribucion debo utilizar si la distribucion de poisson o la distribucion binomial o el el teorema de bayes.

    De antemano muchas gracias.


    replythumb_up0 voto/sflag
    icon

    Antonius Benedictus
    el 12/3/17

    Termina la operación:


    thumb_up1 voto/sflag
    icon

    Luis Felipe Mera Grandas
    el 12/3/17

    pero una pregunta que concepto esta utilizando ahí, supongo que el teorema de bayes

    thumb_up0 voto/sflag
    icon

    Antonius Benedictus
    el 12/3/17

    No: solo las propiedades básicas de la probabilidad y del Álgebra de Sucesos.

    thumb_up0 voto/sflag
  • icon

    Candela
    el 12/3/17

    • Hola unicoos. Por favor, necesito ayuda con esta ecuación:

    χ-√x+1= √4x-9


    replythumb_up0 voto/sflag
  • icon

    Pilar
    el 12/3/17

    Alguien me podía ayudar con el ejercicio 69 por favor 

    replythumb_up0 voto/sflag
    icon

    Antonio
    el 12/3/17

    Debes coger dos de los tres puntos y hallar el vector que los une. 

    Debes coger otros dos de los tres puntos y hallar el vector que los une. 

    Ambos vectores hallados deben ser paralelos o proporcionales


    thumb_up0 voto/sflag
    icon

    Guillem De La Calle Vicente
    el 12/3/17


    thumb_up0 voto/sflag
  • icon

    Alfonso
    el 12/3/17

    Hola unicoos,tengo una duda sobre vectores y rectas, traté de hacer el 44 usando la forma que relaciona al coseno,pero no se en que falla que no hayo la solución, gracias de antemano

    replythumb_up0 voto/sflag
    icon

    Antonius Benedictus
    el 12/3/17


    thumb_up0 voto/sflag
  • icon

    Claudia
    el 12/3/17

    Alguien me puede ayudar con una duda pequeña porfavor

    ¿Cómo puedo pasar de una integral definida a un límite?

    replythumb_up0 voto/sflag
    icon

    Antonio
    el 12/3/17

    icon

    Antonius Benedictus
    el 12/3/17

    Pon el enunciado y te explicamos.

    thumb_up1 voto/sflag
  • icon

    Claudia
    el 12/3/17

    Buenas tardes alguien me puede ayudar con este ejercicio  porfavor, muchas gracias de antemano.


    replythumb_up0 voto/sflag
    icon

    Antonius Benedictus
    el 12/3/17


    thumb_up0 voto/sflag
  • icon

    Matemáticas
    el 12/3/17

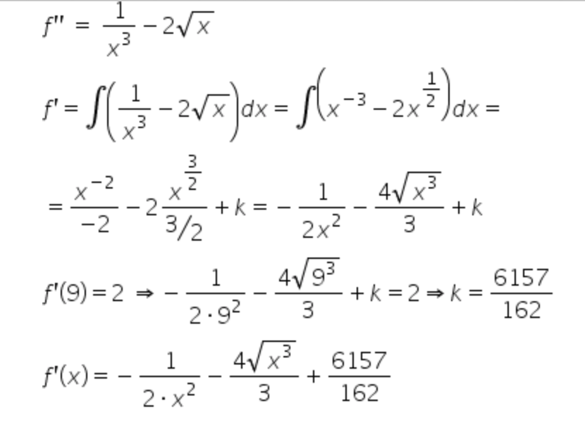
    Halla la función f(x) si se sabe que:

    f' '(x)=(1/x³)-2√(x).

    f(4)=1, f'(9)=2


    replythumb_up0 voto/sflag
    icon

    Antonio
    el 12/3/17

    En primer lugar calculamos f'(x)

    en segundo lugar calculamos f(x)


    thumb_up0 voto/sflag
  • icon

    DavidGamer Romero
    el 12/3/17

    ¿min.c.m (6,8)?

    replythumb_up0 voto/sflag
    icon

    Guillem De La Calle Vicente
    el 12/3/17

    6 = 2·3

    8=2³

    m.c.m = factores repetidos y no repetidos de mayor exponente = 2³ · 3=8·3=24.


    thumb_up0 voto/sflag
  • icon

    Matemáticas
    el 12/3/17

    Un fabricante de ropa deportiva sabe que el costo marginal de producir x prendas está dada por C'(x)=20-0.015x dólares y el costo de producir una es de 25 dólares; encuentre la función de costo total C(x) y el costo de producir 53 prendas.


    replythumb_up0 voto/sflag
    icon

    Antonio
    el 12/3/17

    Integra C'(x) para obtener C(x)

    C(x) = 20x - 0.0075x+ K

    sabiendo que C(1)=25 obtén K

    K = -19.9925

    por lo tanto

    C(x) = 20x - 0.0075x-19.9925

    y por último halla C(53)

    C(53) = 1018.94 dólares


    thumb_up0 voto/sflag