Foro de preguntas y respuestas de Matemáticas

logo beUnicoos
Los foros de unicoos se han unificado en nuestra nueva plataforma beUnicoos. Para dejar nuevas preguntas deberás hacerlo allí, donde además podrás encontrar nuevas asignaturas y herramientas para ayudarte más con tus estudios.

  • icon

    Raisa
    el 12/3/17

        Podríais ayudarme?

    4 Calcular el dominio de definición de las siguientes funciones:

    a)g(x)  2x+1 partido de x elevado a la 2-2x+1

    b)k(x) 2x-3 partido de la raíz de x2-9

    5

    Seanlasfunciones f(x)-2x partido de x+4  y g(x) raíz de 3x-1.Hallar: 

    a) Halla la función g  f
    b) Halla la función inversa de f. 

    replythumb_up0 voto/sflag
    icon

    Ángel
    el 12/3/17

    Manda el enunciado original

    thumb_up0 voto/sflag
  • icon

    Patri Lopez
    el 12/3/17

    Alguien me podría decir que hago mal porfa?? 😣😥😥

    replythumb_up0 voto/sflag
    icon

    Antonius Benedictus
    el 12/3/17

    En el límite por la derecha, has de poner x=1

    Te queda:

    a+b=0

    4a+b=3

    Resolviendo:  a=1, b=-1

    thumb_up1 voto/sflag
  • icon

    Claudia
    el 12/3/17

    No puedo hacer este ejercicio quien me ayuda?🙏🏽🙏🏽🙏🏽

    replythumb_up0 voto/sflag
  • icon

    Marisa Cuca
    el 12/3/17

    Determina la ecuación principal de  la recta que es paralela a la recta de la ecuación 3x=2y-1 y que tiene una pendiente igual a 1/2ç



    Como resuelvo y que propiedades uso?

    replythumb_up0 voto/sflag
    icon

    Antonio
    el 12/3/17

    Dos rectas paralelas tienen la misma pendiente.

    La pendiente de la recta 3x=2y-1 es m=3/2

    La pendiente de la recta pedida debe ser m=1/2

    No serán paralelas

    Es decir, este ejercicio no tiene solución.


    thumb_up0 voto/sflag
  • icon

    Bet
    el 12/3/17


    Cómo se resuelve esto?

    replythumb_up0 voto/sflag
    icon

    Axel Morales Piñón.
    el 12/3/17


    thumb_up0 voto/sflag
  • icon

    Juan Daniel Fontalvo Rivas
    el 12/3/17
    flag

    alguie nque conteste lo necesito o pierdo el corte necesito lo de la tienda nada mas 

    replythumb_up0 voto/sflag
    icon

    David
    el 17/4/17

    ¿y tu duda es?....

    thumb_up1 voto/sflag
  • icon

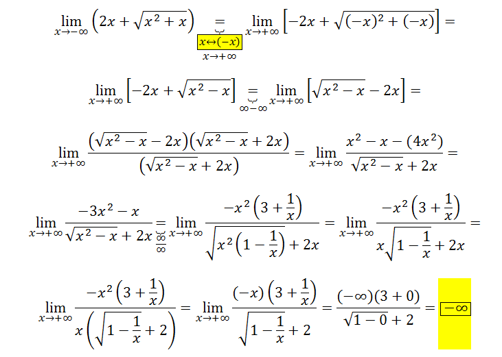
    Pablo
    el 12/3/17

    Hola chicos que tal ?


    Una pregunta


    En el apartado d) hay dos cosas que no entiendo.

    1 ¿Por qué en el  denominador hay una resta?

    2 ¿ Por qué el resultado es menos infinito?

    En la segunda imagen lo he desarrollado en función de lo que había entendido. Me podéis explicar en que me he equivocado por favor. Muchas gracias por vuestra ayuda de ante mano



    replythumb_up0 voto/sflag
    icon

    Antonius Benedictus
    el 12/3/17

    Paso a paso:

    (Cambio a + infinito, poniendo (-x) en vez de x):


    thumb_up1 voto/sflag
  • icon

    Uma
    el 12/3/17

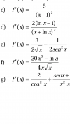
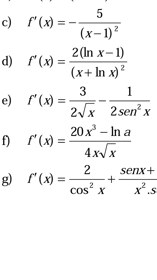
    Hola de nuevo! Estoy volviendo a tener problemas pero esta vez con el ejercicio f)

    Aclaro que "a" es una constante, lo dice al costado del ejercicio pero no se ve.

    Intenté hacerlo tres veces, las primeras dos se me fue el ejercicio para cualquier lado, así que la tercera vez llegué hasta cierto punto, y deduje que si seguía me iba a pasar lo mismo que las dos primeras veces, así que a partir de ahí ya no se como seguir. Esto es hasta donde llegué:

    Y la respuesta correcta es esta:

    Gracias!

    replythumb_up0 voto/sflag
    icon

    Axel Morales Piñón.
    el 12/3/17


    thumb_up0 voto/sflag
  • icon

    Matemáticas
    el 12/3/17

    El volumen V de un globo cambia con respecto al tiempo con una rapidez dada por dV/dt=3√(t)+t/4 pies3 / seg. Cuando han transcurrido t=4 seg, V=20 pies3 . Encuentra el volumen del globo a los 30 segundos.


    replythumb_up0 voto/sflag
    icon

    Antonio
    el 12/3/17

    Debes:

    a) Integrar la expresión dada

    b) Calcular la constante con los datos dados

    c) Calcular el volumen con la expresión obtenida

    Solución: V=461.13 pies3

    thumb_up0 voto/sflag
  • icon

    Matemáticas
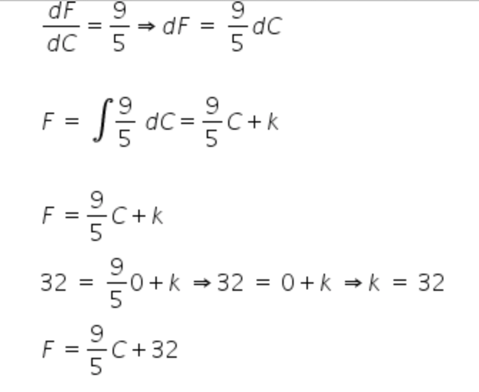
    el 11/3/17

    Si C y F denotan las temperaturas en grados Celsius y Fahrenheit, respectivamente, entonces la tasa de variación de F con respecto a C está dada por dF/dC=9/5. Si F=32 cuando C=0, obtén la fórmula que relacione F con C.

    replythumb_up0 voto/sflag
    icon

    Antonio
    el 11/3/17


    thumb_up0 voto/sflag