Foro de preguntas y respuestas de Matemáticas

logo beUnicoos
Los foros de unicoos se han unificado en nuestra nueva plataforma beUnicoos. Para dejar nuevas preguntas deberás hacerlo allí, donde además podrás encontrar nuevas asignaturas y herramientas para ayudarte más con tus estudios.

  • icon

    Rosario Drysis
    el 11/3/17

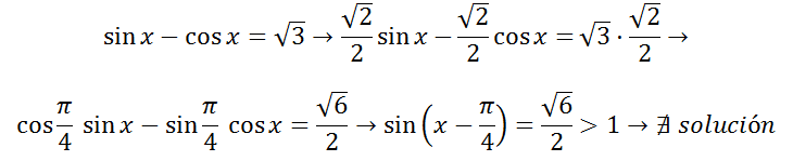
    sen x - cos x = √3

    LO QUE HICE FUE USAR :

    sen x =(2 tgx/2)  / ( 1+tg ∧ x/2)

    cos x =(1-tg∧2 x/2 ) /(1+tg∧2 x/2 )

    entonces esas dos expresiones las igualo a √3

    de ahí en más lo que se me ocurre es hacer cambio de variable z=tg x/2

    pero  no sé  cómo trabajar con  la√3

    no sé como se sigue este ejercicio.

    si me guian, les agradezco.




    replythumb_up0 voto/sflag
    icon

    Antonius Benedictus
    el 11/3/17


    thumb_up1 voto/sflag
    icon

    Rosario Drysis
    el 11/3/17

    excelente!!! muchas gracias por el apoyo!!

    thumb_up0 voto/sflag
  • icon

    Elizabeth Guillen
    el 11/3/17

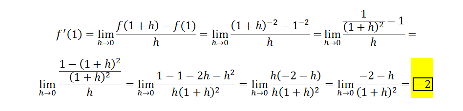
    Derive a partir de la definición en x= 1 f(x) = x-2

    replythumb_up0 voto/sflag
    icon

    Antonius Benedictus
    el 11/3/17


    thumb_up0 voto/sflag
  • icon

    MAR
    el 11/3/17

    Hola a todos¡¡. Me he registrado recientemente pero no sé acceder a la teoría y a los ejercicios. ¿Me podríais decir cómo hacerlo? Muchas gracias y un saludo a todos.

    replythumb_up0 voto/sflag
    icon

    Laura Diaz Andrade
    el 11/3/17

    Tienes que hacerte pro 

    saludoos✋🏻❤️

    thumb_up0 voto/sflag
  • icon

    Claudia
    el 11/3/17

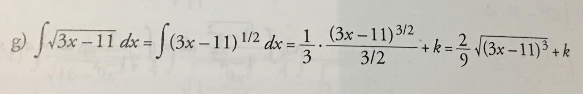
    ¿De donde viene el 1/3?

    replythumb_up0 voto/sflag
    icon

    Antonio
    el 11/3/17


    thumb_up1 voto/sflag
  • icon

    Victoria
    el 11/3/17

    Hola bueno días le puede resolver esta duda a mi hijo???

    Va sobre pasar de complejo a imcoplejo que cuando te pone por ejemplo 

    5Ohg 70cg + 20dg 30dg y me dice que lo pase a una unidad todo pero luego como lo sumo porque me salen dos número

    Gracias 

    replythumb_up0 voto/sflag
    icon

    Antonio
    el 11/3/17

    Hay que pasarlo todo a la misma unidad y luego sumar

    50 hg = 500000 cg

    70 cg

    20 dg = 200 cg

    30 dg = 300 cg

    en total

    500570  cg = 50057 dg


    thumb_up0 voto/sflag
  • icon

    andres
    el 11/3/17


    replythumb_up0 voto/sflag
    icon

    Antonius Benedictus
    el 11/3/17


    thumb_up1 voto/sflag
    icon

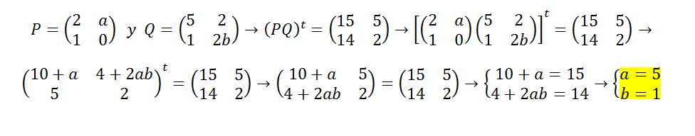
    andres
    el 11/3/17

    Antonio me lo puedes explicar no acabo de ver la solucion como la has hallado



    thumb_up0 voto/sflag
    icon

    Antonius Benedictus
    el 11/3/17

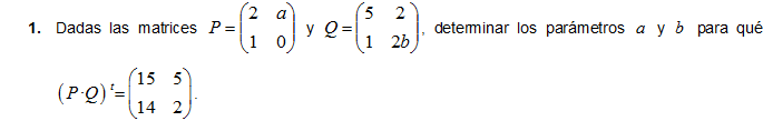
    He multiplicado las dos matrices.

    He traspuesto la matriz resultante.

    He igualado con lo matriz dada término a término.

    He despejado "a".

    He sustituido para despejar "b".

    thumb_up1 voto/sflag
  • icon

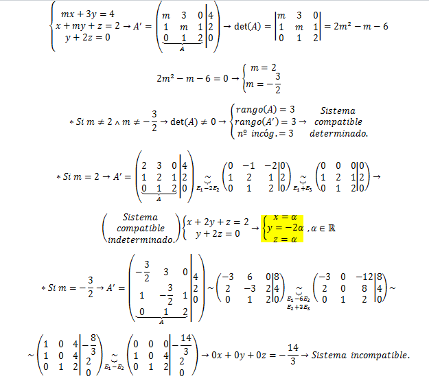
    andres
    el 11/3/17


    He hecho es planteamiento :


    2x+3y+z=6,35

    x+0+2z=3,40

    2x-y + 2z=3,20


    Pero no se seguir

    replythumb_up0 voto/sflag
    icon

    Antonius Benedictus
    el 11/3/17


    thumb_up1 voto/sflag
    icon

    andres
    el 11/3/17

    Antonio  cuando efectuar la parte del f1+3f3 la parte final no me sale 3 , me sale 3,20 ?

    thumb_up0 voto/sflag
    icon

    Antonius Benedictus
    el 11/3/17

    Si a la primera fila le sumas 3 veces la tercera, modificas la primera fila, no la tercera.

    thumb_up1 voto/sflag
  • icon

    andres
    el 11/3/17



    replythumb_up0 voto/sflag
    icon

    Antonius Benedictus
    el 11/3/17


    thumb_up0 voto/sflag
    icon

    andres
    el 14/3/17

    Lo siento antonio pero cuando haces el determinante lo entiedo .

    Pero cuando tienes la formula 2m-m-6 como lo efectúas

    thumb_up0 voto/sflag
  • icon

    Patri Lopez
    el 11/3/17

    Tengo una duda urgente! No entiendo que tengo mal en los resultados sale que es e 5/2 y no entiendo de donde saca el 2 😥

    replythumb_up0 voto/sflag
    icon

    Antonius Benedictus
    el 11/3/17

    El límite inicial lleva una raíz cuadrada (esto es, potencia de exponente 1/2), que te has comido en todo el desarrollo. solo tienes que poner un 2 en el denominador del exponente en todo el ejercicio. Y ya ves de dónde sale 5/2.

    thumb_up0 voto/sflag
  • icon

    Gloria
    el 11/3/17

    ¡Hola! Necesito ayuda. Estoy en primero de bachiller y no sé hacer el paso de una ecuación a otra (rectas), por ejemplo paso de la ecuación general a explicita, continua , paramétrica y vectorial. Gracias y un saludo.

    replythumb_up0 voto/sflag
    icon

    Antonius Benedictus
    el 11/3/17

    Aquí la tienes todas:


    thumb_up1 voto/sflag