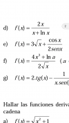
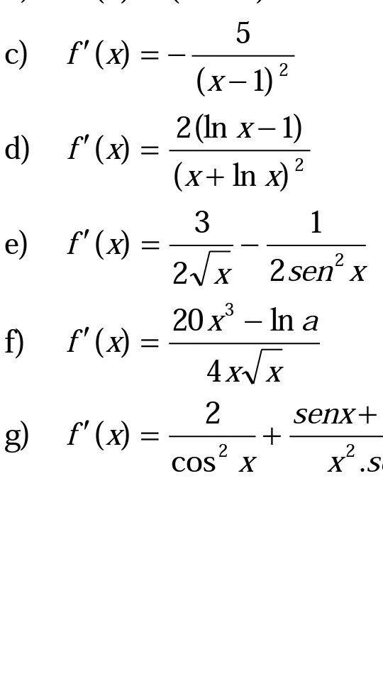
Hola! Tengo un problema con el ejercicio e). Hay que derivar aplicando las propiedades y usando la tabla de derivadas, pero no llego a la respuesta que supuestamente es la correcta.![]()
Lo que yo hice fue esto:
Pero la respuesta que aparece en mi guía de trabajos practicos es esta:
Y no puedo ver donde me equivoqué. Para mi lo que hice está bien, pero nose. Espero me puedan ayudar. Gracias!
Hola!
Resolviendo triángulos con el teorema del cateto, me encuentro con el siguiente enunciado:
Entiendo que utiliza la fórmula del cateto para despejar la incógnita "c" como una ecuación de segundo grado, pero no entiendo como lo despeja después para que quede de la forma "b.cosA±√a² - b².sen²A"
¿Alguien me lo podría explicar?
Muchas gracias y un saludo

Veamos...
x^2 - 18x + 14 < 0
Factoriza la expresión cuadrática, lo que nos queda:
(x-0,816)(x-17,185) < 0
Para que esta expresión sea menor a cero, se puede cumplir que
1) x-0,816 < 0 ^ x-17,185 > 0
x < 0,816 ^ x > 17,185
2) x-0,816 > 0 ^ x - 17,185 < 0
x > 0,816 ^ x < 17,185
Formamos el cuadro de signos, teniendo en cuenta los factores y las raíces que calculamos (0,816 y 17,185), dándole valores a derecha y a izquierda:
Dándole valor cero:
0-0,816 = -0,816
0-17,185 = -17,185
Dandole valor 1
1-0,816 = 0,184
1-17,185 = -16,185
Dándole valor 25
25 - 0,816 = 24,184
25 - 17,185 = 7,815
0,816 17,185
x-0,816 - | + | +
x-17,185 - | - | +
Descartamos los números menores a 0,816 y los números mayores a 17,185, dado que el producto de sus signos (- x - = + ; + x += +) no satisface la inecuación que te han dado, tomamos los números comprendidos entre 0,816 y 17,185 dado que el producto de sus signos + x - = -
Luego la solución de la inecuación es
S = (0,81; 17,18)
o más bien --> 0,81 < x < 17,18
Cualquier duda me la haces saber, Saludos!