Foro de preguntas y respuestas de Matemáticas

logo beUnicoos
Los foros de unicoos se han unificado en nuestra nueva plataforma beUnicoos. Para dejar nuevas preguntas deberás hacerlo allí, donde además podrás encontrar nuevas asignaturas y herramientas para ayudarte más con tus estudios.

  • Usuario eliminado
    el 10/3/17

    Hola, podrían ayudarme con estas tres preguntas?



    Muchas gracias :)

    replythumb_up0 voto/sflag
    icon

    Antonio
    el 10/3/17

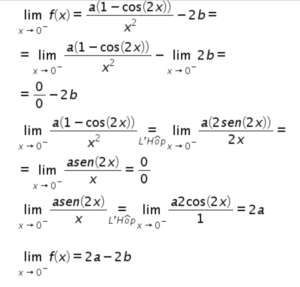
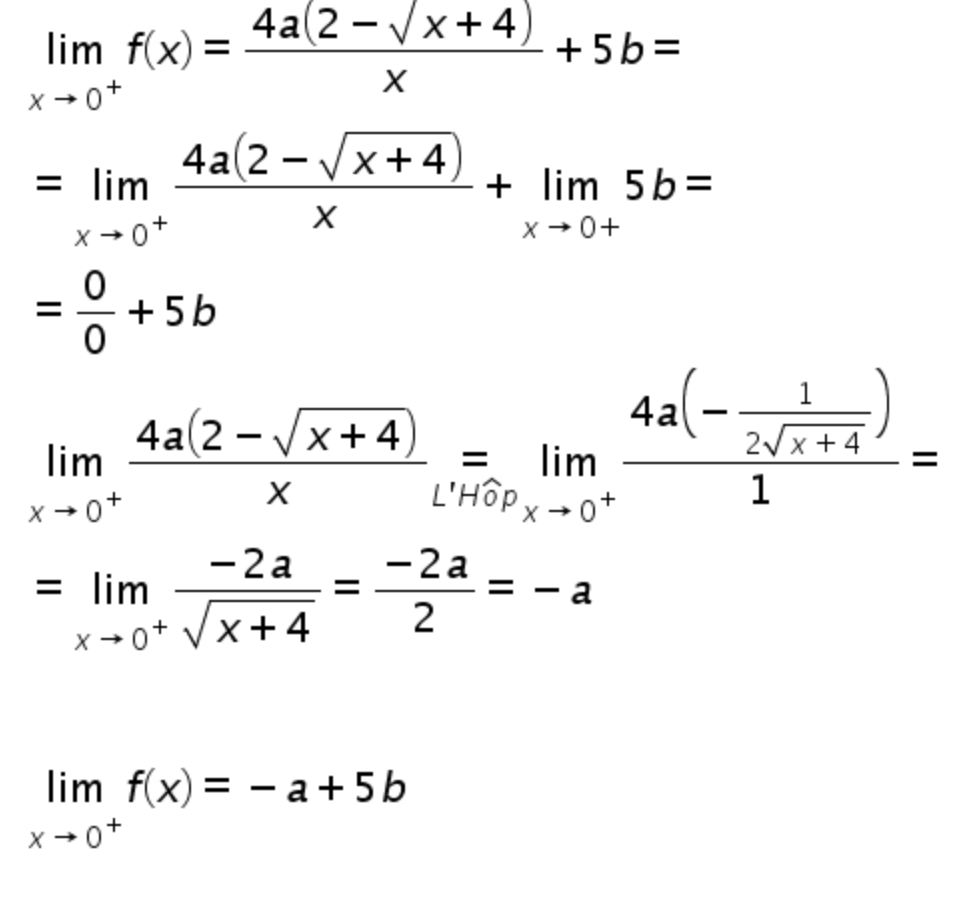
    Para calcular el límite sólo tienes que sustituir por -π/2 donde corresponda.  A mi me sale 8a/π2 - 2b

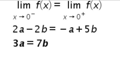
    Para calcular la relación, solo tendrás que calcular los límites laterales de 0 e igualarlos.  A mi me sale 7b-2a=2

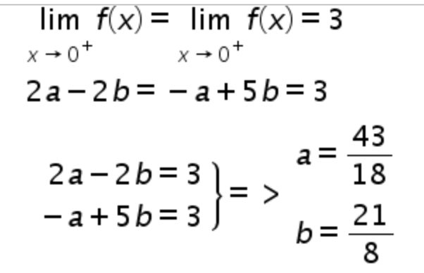
    Y por último, igualar ambos límites laterales a 3. A mi me sale a=5/2 y b=1

    Si al hacerlo te surgen dudas, te ayudo con más detenimiento.


    thumb_up1 voto/sflag

    Usuario eliminado
    el 10/3/17

    Gracias por responder!, podrias hacerlo con mayor detenimiento?, este ejercicio en particular me cuesta un monton :(

    thumb_up0 voto/sflag
    icon

    Antonio
    el 10/3/17


    thumb_up1 voto/sflag

    Usuario eliminado
    el 10/3/17

    Una consulta, reemplazaste la x en la expresion donde x < 0 porque -π/2 < 0, correcto?

    Podrias enviarme las otras dos por favor?, te agradezco mucho tu tiempo!, me has ayudado demasiado

    thumb_up0 voto/sflag
    icon

    Antonio
    el 10/3/17

    Efectivamente, se sustituye en el primer trozo pues es donde se cumple la condición

    thumb_up1 voto/sflag

    Usuario eliminado
    el 10/3/17

    Perfecto!, podrias detallar los otros dos restantes por favor?, muchas graciaas!

    thumb_up0 voto/sflag
    icon

    Antonio
    el 10/3/17



    thumb_up1 voto/sflag

    Usuario eliminado
    el 10/3/17

    muchas gracias!!

    thumb_up0 voto/sflag
    icon

    Antonio
    el 10/3/17


    thumb_up1 voto/sflag

    Usuario eliminado
    el 10/3/17

    Al hacer el sistema de ecuaciones del final, no me da igual que a ti, estoy mal yo?

    thumb_up0 voto/sflag

    Usuario eliminado
    el 10/3/17

    Me da que a = 21/8 y que b = 9/8

    thumb_up0 voto/sflag
    icon

    Antonio
    el 10/3/17

    Efectivamente:


    thumb_up1 voto/sflag
  • icon

    Julio
    el 10/3/17

    Hola, me podrían ayudar con este, gracias 


    replythumb_up0 voto/sflag
    icon

    Antonius Benedictus
    el 10/3/17


    thumb_up0 voto/sflag
  • icon

    nohelia catalina fuentes cruz
    el 10/3/17

    alguien me puede explicar estos ejercicios tengo parcial y no tengo muy claro los conceptos T-T

    replythumb_up0 voto/sflag
    icon

    Antonio
    el 10/3/17

    (-∞,-4)U(-4,-2)U(-2,2)U(2,+∞)

    de salto infinito

    x = 2     y= -2

    2

    1

     2

    +

    thumb_up1 voto/sflag
    icon

    nohelia catalina fuentes cruz
    el 10/3/17

    gracias :) :3 

    thumb_up0 voto/sflag
  • icon

    Julio Rojas
    el 10/3/17

    Como se resolveria el ejercicio 22 por L hopital 

    replythumb_up0 voto/sflag
    icon

    Antonio
    el 10/3/17


    thumb_up0 voto/sflag
  • icon

    Melisa Rossi
    el 10/3/17



    Hola!!.. Alguien podría ayudarme con este ejercicio porfa?..  

    replythumb_up0 voto/sflag
    icon

    Antonio
    el 10/3/17


    thumb_up0 voto/sflag
  • icon

    sandra rubio
    el 10/3/17

    Me pueden ayudar con este ejercicio. Gracias.

    Cierto tipo de batería dura un promedio de 3 años, con una desviación típica de 0,5 años. Suponiendo que la duración de las baterías es una variable normal:

    a)¿Que porcentaje de baterías se espera que duren entre 2 y 4 años?

    b)Si una batería lleva funcionando 3 años, ¿ cuál es la probabilidad de que dure menos de 4,5 años?

    replythumb_up0 voto/sflag
    icon

    Antonius Benedictus
    el 10/3/17


    thumb_up0 voto/sflag
  • icon

    Julio Rojas
    el 10/3/17

    buenas como podria hacer el ejercicio 10 y 14 por L hopital 

    replythumb_up0 voto/sflag
    icon

    Antonius Benedictus
    el 10/3/17


    thumb_up0 voto/sflag
    icon

    Antonius Benedictus
    el 10/3/17

    Éste no precisa L'Hôpital:


    thumb_up1 voto/sflag
  • Usuario eliminado
    el 10/3/17

    Hola, necesito saber como se hace el siguiente ejercicio y su respuesta:



    Muchas gracias :)

    replythumb_up0 voto/sflag
    icon

    Antonius Benedictus
    el 10/3/17


    thumb_up1 voto/sflag
  • icon

    Teresa
    el 10/3/17

    Buenas tardes, necesito saber como se hace el  siguiente problema: Calcular la altura a la que se encuentra una cometa si la longitud de la cuerda es 143m y la razón entre

     altura y AB(distancia desde donde está la persona hasta la perpendicular de la cometa al suelo) es 5/12.

    Muchas gracias

    replythumb_up0 voto/sflag
    icon

    Antonio
    el 10/3/17


    Existe un triángulo rectángulo de vértices ABC, donde C es la cometa

    Sea h la altura que se pide, distancia entre A y C

    Sea a la distancia entre A y B, distancia desde donde está la persona hasta la perpendicular de la cometa al suelo

    La distancia entre B y C, sería la longitud de la cuerda, la cual es 143m

    Además tenemos que h/a = 5/12 => 12h = 5a => a= 12h/5

    Po otro lado, aplicando el teorema de Pitágoras, que dice que: c12 + c22 = h2 

    h2 + a2 = 1432

    tenemos, sustituyendo:

    h2 + (12h/5)2 = 1432

    Resolviendo esta ecuación de segundo grado

    h2 + 144h2/25 = 120449

    25h2 + 144h2 = 511225

    169h2 = 511225

    h2 = 511225/169 = 3025

    h = 3025 = 55

    La altura pedida es de 55 metros




    thumb_up1 voto/sflag
  • Usuario eliminado
    el 10/3/17

    Hola, necesito saber como resolver lo siguiente y cual seria la respuesta:

    Dada la sucesión {a sub n} = {1/2, 4/5, 9/10, 16/17, ......}

    1) Determinar una expresión para  a sub n.
    2) Analizar la convergencia de esta sucesión.

    Nota: Entiéndase  a sub n  como a y una n pequeña debajo a la derecha.

    Muchas gracias :)

    replythumb_up0 voto/sflag
    icon

    Antonius Benedictus
    el 10/3/17


    thumb_up1 voto/sflag