Foro de preguntas y respuestas de Matemáticas

logo beUnicoos
Los foros de unicoos se han unificado en nuestra nueva plataforma beUnicoos. Para dejar nuevas preguntas deberás hacerlo allí, donde además podrás encontrar nuevas asignaturas y herramientas para ayudarte más con tus estudios.

  • icon

    Claudia
    el 10/3/17


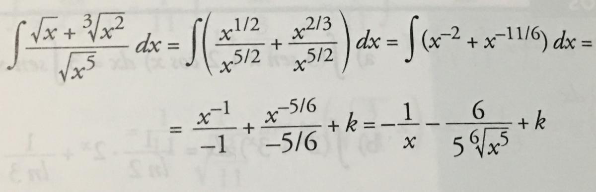
    ¿Me explican como se hace esa integral?

    replythumb_up0 voto/sflag
    icon

    Antonius Benedictus
    el 10/3/17

    Claudia, la integral ya está hecha, y bien hecha, paso a paso.

    thumb_up0 voto/sflag
    icon

    Diaz Daniel Victor
    el 11/3/17

    Para más detalles mira algunos vídeos de integrales que hay muchos y muy buenos

    thumb_up1 voto/sflag
  • icon

    Paula
    el 10/3/17
    flag

    Despeja de la siguiente fórmula mx.



    replythumb_up0 voto/sflag
    icon

    Claudia
    el 10/3/17
    flag


    thumb_up0 voto/sflag
    icon

    Antonius Benedictus
    el 10/3/17

    No es correcto. Revísalo.

    thumb_up0 voto/sflag
    icon

    Facu Imfeld
    el 11/3/17

    Teniendo (a/b)^2

    Quedaría (a^2 / b^2)

    Debería quedar a^(3/2).(2)

    Y debe quedar la t elevada al cuadrado

    thumb_up0 voto/sflag
  • icon

    Claudia
    el 10/3/17

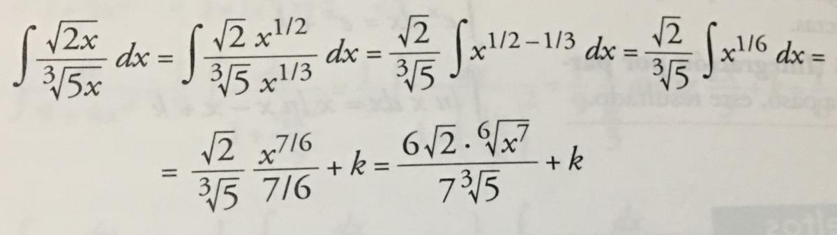
    ¿Me explican como se hace esa integral?

    replythumb_up0 voto/sflag
    icon

    Antonius Benedictus
    el 10/3/17

    A ver si así la entiendes:


    thumb_up0 voto/sflag
  • icon

    Matemáticas
    el 10/3/17

    Considera las siguientes frases.

           (d) existe un número natural más pequeño que 8.

           (e) existe un número natural y tal que y<8.

           (f) existe un número natural m tal que m<8.

    Tienen sentido, estas frases? Estan bien escritas? Cuáles son vertaderas y cuáles son falsas?

    replythumb_up0 voto/sflag
    icon

    Antonio
    el 10/3/17

    V

    V

    V

    Es más, las tres dicen lo mismo.

    thumb_up0 voto/sflag
  • icon

    Claudia
    el 10/3/17

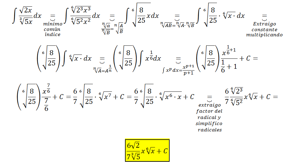
    ¿Alguien me explica como se ha pasado el 1/3 y queda 3? 

    replythumb_up0 voto/sflag
    icon

    Antonius Benedictus
    el 10/3/17

    A/(1/B)=(A/1):(1/B)=AB

    Dividir entre (1/3) equivale a multiplicar por 3.

    thumb_up1 voto/sflag
  • icon

    Iveran
    el 10/3/17

    Me puede alguien explicar con plantear el siguiente problema (me lio)

    Calcula dos números sabiendo que la diferencia es 16 y que el doble del menor sobre pasa en cinco unidades al mayor.

    replythumb_up0 voto/sflag
    icon

    Antonius Benedictus
    el 10/3/17

    x-y=16

    2y-x=5

    Suma miembro a miembro:  y=21

    Entonces: x-21=16

    x=37

    37 y 21.

    thumb_up0 voto/sflag
  • icon

    Matemáticas
    el 10/3/17

    Considera las siguientes frases.

           (a) 4x+7=0 ⇔ x=-7/4.

           (b) x>2 ⇔ x>3.

           (c) 8 ⇔ x>5.

    Tienen sentido, estas frases? Estan bien escritas? Cuáles son vertaderas y cuáles son falsas?




    replythumb_up0 voto/sflag
    icon

    Antonio
    el 10/3/17

    V

    F

    F

    thumb_up0 voto/sflag
    icon

    Antonius Benedictus
    el 10/3/17

    La c) no tiene sentido, pues el primer elemento de la equivalencia no es un predicado.

    thumb_up0 voto/sflag
  • Usuario eliminado
    el 10/3/17

    Hola, como resuelvo esto?, cual seria su resultado?, muchas gracias :)

    replythumb_up0 voto/sflag
    icon

    Antonius Benedictus
    el 10/3/17


    thumb_up1 voto/sflag

    Usuario eliminado
    el 10/3/17

    Muchas gracias!, no entendi lo que hiciste al final en la primera pregunta con ese simbolo de "Interseccion", podrias explicarmelo?, gracias!!!


    thumb_up0 voto/sflag
    icon

    Antonius Benedictus
    el 10/3/17

    El punto de corte (o intersección) de la recta con el eje OY.

    thumb_up1 voto/sflag

    Usuario eliminado
    el 10/3/17

    Pero como las hiciste intersectar?

    thumb_up0 voto/sflag
    icon

    Antonius Benedictus
    el 10/3/17

    El eje OY tiene por ecuación x=0.


    thumb_up1 voto/sflag

    Usuario eliminado
    el 10/3/17

    Se hace porque la unica posibilidad para que Y = -30 es que la x sea 0, no?

    thumb_up0 voto/sflag
  • icon

    tatuil1
    el 10/3/17

    me prodrian ayudar con esta funcion h(x)= a+ 28/3x-2 tengo que averiguar el dominio y dice que con 3 la funcion de cero por logica a=-4 pero no me da como dice el resultado como hago

    replythumb_up0 voto/sflag
    icon

    Antonius Benedictus
    el 10/3/17

    Pon foto delenunciado original, por favor.

    thumb_up0 voto/sflag
    icon

    tatuil1
    el 10/3/17

    es el 1 y tambien podria se el 2b 

    thumb_up0 voto/sflag
    icon

    Antonius Benedictus
    el 10/3/17

    No me envíes a enlaces externos. Pon foto directa.

    thumb_up0 voto/sflag
    icon

    Antonio
    el 10/3/17

    Efectivamente a = -4

    El dominio serán todos los números reales menos el que anule al denominador

    3x-2=0 => x=2/3

    D = ℛ -{2/3}

    La inversa se consigue despejando x

    h-1=(28+2x-2a)/(3x-3a)

    y el conjunto de imágenes es ℛ -{a} pues a anula al denominador de h-1

    thumb_up0 voto/sflag
  • icon

    nohelia catalina fuentes cruz
    el 10/3/17

    hola alguien me puede ayudar explicandome estos ejercicios ? 

    ademas pueden decirme en que casos especificos se hacen limites laterales ?


    replythumb_up0 voto/sflag