Hola, buenas tardes,
Me podrían ayudar por favor con esta operación, y me la podrían desarrollar paso a paso para ver como se hace:
6/3 de ? = 182
Muchas gracias de antemano.
Pueden colgar un vídeo de como se representan las ccordenadas den un palno (1º ESO). con ejemplo de ecuaciòn?
Gracias
'
'
Gracias
Yo he encontrado por el momento este enlace en el que se explica como se representan, no se si te podrá servir.
http://www.apuntesmareaverde.org.es/grupos/mat/1eso/F_1_12_graficas.pdf
Hola amigos, tengo un problema con Límites Dobles, y es que por ejemplo en:
f(x,y)=(y-1).cos(1/(1-x)) con (x,y) ---> (1,1)
Se que existe el límite y es 1 pero no logro demostrarlo por definición, alguien me puede ayudar con esto? o darme alguna fuente donde pueda aprender a demostrar por definición?
Gracias !!
hola estimados, me podrían ayudar con este ejercicio por favor, EJERCICIO: "Al comenzar los estudios de ingeniería, se aplica una prueba a los estudiantes de una cierta institución con 32 preguntas en el área de las matemáticas. Por cada pregunta contestada correctamente se asignan 4 puntos y por cada pregunta incorrecta o no contestada se le descuentan 2 puntos. Un alumno obtuvo en total 98 puntos". Y YO NECESITO Resolver el sistema aplicando el método de sustitución y determinar ¿Cuántas pregunta respondió el alumno correctamente? se los agradeciera mucho estimados.

Debes pensar en que el total de preguntas es 32 es decir que la suma entre preguntas correctas y erróneas es 32
x= respuestas correctas
y= respuestas erróneas
x + y = 32
Ahora el enunciado dice que por cada respuesta correcta le dan 4 puntos y a cada errónea le descuentan 2 puntos y el total de puntos que obtuvo el alumno por el que te preguntan es de 98 es decir:
4x - 2y = 98
Debes resolver despejando una de las incógnitas (x o y) y reemplazar en la otra ecuación para encontrar el valor de la incógnita que queda al remplazar luego vuelves a reemplazar en la primera ecuación despejada para poder resolver...
Te recomiendo que trates de ver vídeos antes de preguntar, este foro no es para que los demás resuelvan todo el problema, sino para despejar dudas y ayudar con problemas muy difíciles que tal vez no tengan vídeos sobre el tema.
http://www.unicoos.com/video/matematicas/2-eso/ecuaciones/sistemas-de-ecuaciones/sistema-de-ecuaciones-metodo-de-sustitucion
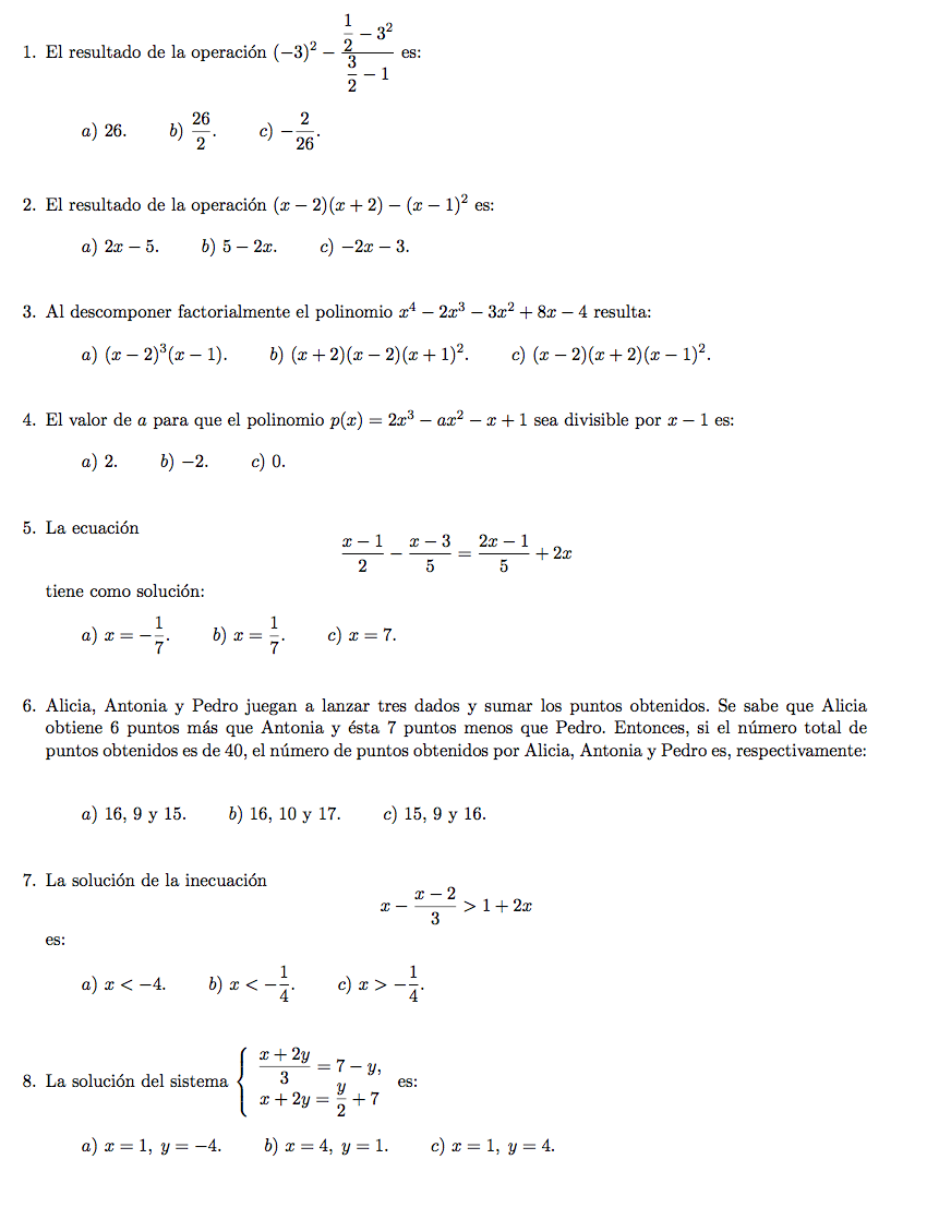
Hola quisiera saber si, es posible que no se dé uno de los casos de la siguiente pregunta
pude encontrar los valores para que sea un S.C.D. (una solución) con k≠6 y S.I. (no tenga solución) con k=6, pero no para que sea Compatible Indeterminado (infinitas soluciones)
2x -y -kz = 0
x -y -2z = 1
-x +2y = k
Encontrar el valor de a para que el el numero complejo (5-3i) / (8+ai) sea real
Alguien sabe los pasos a seguir para poder desarrollarlo?
muchas gracias por todo
Hola, no entiendo x k el dominio de esa función es la boda, x más vueltas k le doy a mi siempre me sale la a![]()

Observa que deben cumplirse dos condiciones a la vez:
a) el denominador en el argumento de la raíz debe ser distinto de cero;
b) el argumento de la raíz debe ser mayor o igual que cero.
Luego, analizamos cada condición por separado:
a) x2 ≠ 0, hacemos pasaje de potencia como raíz y queda: x ≠ √(0), de donde tenemos: x ≠ 0;
b) (x + 6)/x2 ≥ 0,
observa que el denominador es estrictamente positivo (es un cuadrado, y ya hemos analizado en el inciso anterior que es distinto de cero), por lo que haces pasaje de divisor como factor y queda:
x + 6 ≥ 0*x2. resolvemos el segundo miembro y queda:
x + 6 ≥ 0, hacemos pasaje de término y queda: x ≥ - 6.
Luego, a partir de las dos inecuaciones remarcadas, tenemos que el dominio de la función es:
D = [-6,0) ∪ (0,+∞).
Espero haberte ayudado.
Hola, queria pedir ayuda!! Tengo el examen de la PAUM25 y todos los años tiene el mismo tipo de ejercicios, quería saber si me podrían decir que videos tengo que ver para poder superar la prueba. Gracias!!!