
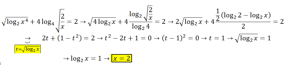
Primero, recuerda la expresión para el cambio de base:
log4(u) = log2(u) / log2(4) = log2(u) / 2 = (1/2)*log2(u),
luego, aplicando la propiedad anterior para el segundo término ( observa que u = √(2/x) ), la ecuación queda:
√( log2(x4) ) + (1/2)*log2( √(2/x) ) = 2,
luego aplicamos propiedades del logaritmo de una potencia en el primer término, y de una raíz en el segundo, y queda:
√( 4*log2(x) ) + (1/2)*(1/2)*log2(2/x) = 2,
distribuimos la raíz en el primer término, resolvemos coeficientes y aplicamos propiedad del logaritmo de un cociente en el segundo, y queda:
2*log2(x) + (1/4)*( log2(2) - log2(x) ) = 2,
resolvemos el primer logaritmo en el agrupamiento, distribuimos y queda:
2*log2(x) + (1/4)*1 - (1/4)*log2(x) = 2,
reducimos términos semejantes, resolvemos el segundo término y queda:
(7/4)*log2(x) + 1/4 = 2,
hacemos pasaje de término y queda:
(7/4)*log2(x) = 7/4,
hacemos pasaje de factor como divisor y queda:
log2(x) = 1,
componemos con la función inversa del logaritmo en base 2 en ambos miembros y queda:
x = 2.
Espero haberte ayudado.
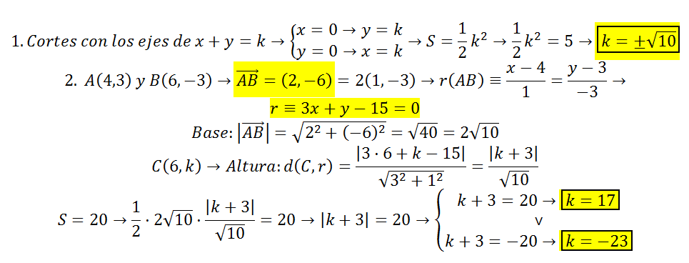
1.- Dibula la recta, para ello busca los puntos de corte con los ejes. Cuando la tengas dibujada, verás el triángulo que se menciona en el problema y solo tendrás que, usando la fórmula, hallar su área e igualarla a 5 para luego despejar k, que, por cierto, es raíz de 10.
2.- Area de un triángulo conociendo las coordenadas de sus vértices ...
Estudia el rango de A=
2 -1 -3 5
2 2 -1 a
1 1 1 6
3 1 -4 a
en funcion de los valores de a
En primer lugar, debes ver que el rango será 3 ó 4 (no inferior), pues hay un menor que no depende del parámetro de orden tres distinto de cero. (encuéntralo)
En segundo lugar, debes hallar el determinante de A en función del parámetro a, igualarlo a cero y despejar el parámetro, para ese valor el determinante sería nulo y, por ende, el rango 3; para el resto de valores, el determinante no se anula y el rango sería 4.
La solución al ejercicio quedaría por consiguiente:
El rango de A es 3 si a=? y 4 en otro caso.

Empleamos el Método de Gauss.
Tienes la matriz:
2 -1 -3 5
2 2 -1 a
1 1 1 6
3 1 -4 a
A la cuarta fila le restamos la segunda fila y queda:
2 -1 -3 5
2 2 -1 a
1 1 1 6
1 -1 -3 0
Permutamos la tercera fila con la primera, y la cuarta con la segunda, y queda:
1 1 1 6
1 -1 -3 0
2 -1 -3 5
2 2 -1 a
A la segunda fila le restamos la primera, y a las dos últimas filas les restamos el doble de la primera y queda:
1 1 1 6
0 -2 -4 -6
0 -3 -5 -7
0 0 -3 (a-12)
A la segunda fila la multiplicamos por -1/2 y queda:
1 1 1 6
0 1 2 3
0 -3 -5 -7
0 0 -3 (a-12)
A la primera fila le restamos la segunda, a la tercera fila le sumamos el triple de la segunda y queda:
1 0 -1 3
0 1 2 3
0 0 1 2
0 0 -3 (a-12)
A la primera fila le sumamos la tercera, a la segunda fila le restamos el doble de la tercera, a la cuarta fila le sumamos el triple de la tercera y queda:
1 0 0 5
0 1 0 -1
0 0 1 2
0 0 0 (a-6)
Luego, tenemos dos casos:
1) Si a - 6 = 0, lo que corresponde a a = 6, tenemos que el rango de la matriz es 3 (observa que la cuarta fila queda nula).
2) Si a - 6 ≠ 0, que corresponde a a ≠ 6, tenemos que el rango de la matriz es 4 (observa que el cuarto elemento de la cuarta fila es distinto de cero).
Espero haberte ayudado.
Hola,buenas tardes,¿me podríais ayudar en el siguiente problema de funciones y graficas?,a parte si podriais explicarme como poder resolver problemas de funciones si es posible.
PB:Un camión circula con velocidad constante de 80km/h.Obtén la fórmula del espacio que recorre en función del tiempo que está circulando.¿qué tipo de función es?
¿Por qué el cuadrado de una raíz cuadrada es el radicando?
Simple definición.
El cuadrado de un número y la raíz cuadrada de un número son operaciones inversas, por lo que el cuadrado de una raíz cuadrada es el número inicial, de igual forma, la raíz cuadrada del cuadrado de un número es ese mismo número.
Haz un ejemplo: elige un número, hazle su raíz cuadrada y a continuación el cuadrado del resultado. Ala, te salió el numero inicial.
¿Magia? No, matemáticas.
Porque la raíz cuadrada es la operación inversa de elevar al cuadrado.
(√8)2= 8
(√1989)2= 1989
...
http://matematica.laguia2000.com/general/raiz-cuadrada
dado el sistema de ecuaciones lineales
determinar por que valores del parámetro m el sistema es compatible determinado, compatible indeterminado o incompatible.
Calculamos el determinante de la matriz de coeficientes: 2m2-m-6
Lo igualamos a cero: 2m2-m-6=0 => m=2, m=-3/2
El sistema será compatible determinado para valores de m distintos a 2 y a -3/2. (El determinante no es nulo)
Si m=2 el sistema será compatible indeterminado, pues el rango de la matriz ampliada es dos.
Si m=-3/2 el sistema será incompatible, pues el rango de la matriz ampliada es tres.
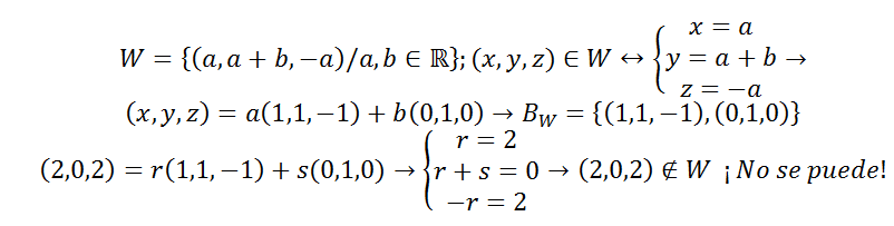
El ejercicio es este:
Y he planteado lo siguiente:
(2, 0, 2) = α (a, a+b, -a)
aα = 2
aα + bα = 0
-aα = 2
Por lo que:
aα = -aα
Y de aquí no se pueden obtener las coordenadas verdad? Muchas gracias.
Espero que ahora se vea bien el enunciado.