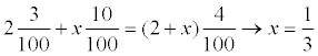
Resolver las ecuaciones:
√x+2-√x-3=√x-6
x+3-28x-1=0

En la primera lo que debes hacer es dejar el término radical aislado (como todos los términos tienen radical, déjalo como está) y elevar al cuadrado ambas partes de la igualdad; después, del resultado del producto notable, ahora si que aislas al término con radical y vuelves a elevar al cuadrado. Ya óperas y despejas.
En la segunda el exponente de x-1 es lo mismo que 1/x de modo que te queda x+2/28x = 0 (Esta es fácil no?)

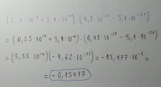
a)
Comenzamos por extraer factor común la menor potencia de 10 en cada factor, y la expresión queda:
1018*(2,5 + 3,1*10)*10-22*(4,8 - 5,1*10) = resolvemos los productos en los agrupamientos, ordenamos factores y queda:
= (2,5 + 31)*4,8 - 51)*1018*10-22 = resolvemos agrupamientos, reducimos potencias y queda:
= 33,5*(-46,2)*10-4 = resolvemos los dos primeros factores y queda:
= -1547,7*10-4 = dividimos y multiplicamos por 1000 = 103, agrupamos factores y queda:
= (-1547,7/1000)*103*10-4 = resolvemos la división, resolvemos potencias y queda:
= -1,5477*10-1 = -0,15477.
b)
Extraemos la menor potencia como factor común en el agrupamiento y queda:
( 10-16*(6,4*10 - 5,9) )3 = resolvemos el producto y la resta y queda:
= ( 10-16*58,1 )3 = distribuimos la potencia 3 y queda:
= (10-16)3*58,13 = resolvemos exponentes en el primer factor, resolvemos el segundo factor y queda:
= 10-48*196122,941 = multiplicamos y dividimos por 105 = 100000, agrupamos y queda:
= 10-48*105*(196122,941/100000) = resolvemos potencias, resolvemos la división y queda:
= 10-43*1,96122941 = ordenamos factores y queda:
= 1,96122941*10-43.
c)
Extraemos como factor común la menor potencia de 10 en el numerador y queda:
1028*(3,81*10 + 4,52) / 2,5*10-45 = resolvemos el agrupamiento en el numerador y queda:
= 1028*42,62 / 2,5*10-45 = ordenamos factores y divisores, y queda:
= (42,62/2,5)*(1028/10-45) = resolvemos en ambos factores y queda:
= 17,048*1073 = dividimos y multiplicamos por 10 = 101, agrupamos factores y queda:
= (17,048/10)*(101*1073) = resolvemos el primer factor, resolvemos exponentes en el segundo factor y queda:
= 1,7048*1074.
d)
Distribuimos el exponente 4 en el numerador, extraemos la menor potencia de 10 como factor común en el denominador y queda:
4,54*(10-12)4 / 1039*(2,561*102 + 5,264) = resolvemos en el numerador y en el denominador (conservamos las potencias de 10) y queda:
= 410,0625*10-48 / 1039*261,364 = agrupamos factores y divisores y queda:
= (410,0625/261,364)*(10-48/1039) = resolvemos el primer factor (expresamos en forma aproximada), resolvemos potencias en el segundo factor y queda:
≅ 1,568932*10-77.
Espero haberte ayudado.