Tengo examen dentro de poco y, los radicales los vimos a principio de curso. He visto los vídeos, pero todavía tengo lagunas importantes sobre este tema. Agradezco toda ayuda y, especialmente, la de Antonio Benito. Espero que me puedan ayudar a resolver este tipo de ejercicios:

Calculamos el módulo del vector AB:
||AB|| = √( (2+1)2 + (6-3)2 ) = √(18),
luego planteamos el sistema de ecuaciones:
||AC|| = √(18)
|||BC|| = √(18)
luego planteamos las expresiones de los módulos de los vectores AC y BC y el sistema queda:
√( (x+1)2 + (y-3)2 ) = √(18)
√( (x-2)2 + (y-6)2 ) = √(18)
luego elevamos al cuadrado en ambos miembros de ambas ecuaciones y queda:
(x+1)2 + (y-3)2 = 18
(x-2)2 + (y-6)2 = 18
desarrollamos los binomios elevados al cuadrado, ordenamos y reducimos términos semejantes y queda:
x2 + y2 + 2x - 6y = 8
x2 + y2 - 4x - 12y = -22
mantenemos la primera ecuación, y sustituimos la segunda por la resta entre la primera ecuación y la segunda y queda:
x2 + y2 + 2x - 6y = 8
6x + 6y = 30, aquí dividimos en todos los términos por 6, hacemos pasaje de término y queda: y = 5 - x (1),
luego sustituimos en la primera ecuación y queda:
x2 + (5 - x)2 + 2x - 6(5 - x) = 8, desarrollamos el binomio elevado al cuadrado, distribuimos el factor común y queda:
x2 + 25 - 10x + x2 + 2x - 30 + 6x = 8, hacemos pasaje de término, reducimos términos semejantes y queda:
2x2 - 2x - 13 = 0, que es una ecuación polinómica cuadrática cuyas soluciones son:
1) x = ( 2 + √(108) )/4 ≅ 3,098, que al reemplazar en la ecuación señalada (1) conduce a: y ≅ 1,902, por lo que tenemos el punto de coordenadas: C1(3,098 , 1,902);
2) x = ( 2 - √(108) )/4 ≅ -2,098, que al reemplazar en la ecuación señalada (1) conduce a: y ≅ 7,098, por lo que tenemos el punto de coordenadas: C2(-2,098 , 7,098).
Por lo tanto, concluimos que el ejercicio c tiene dos soluciones, ya que es posible construir dos triángulos equiláteros con los vértices A y B del enunciado.
Espero haberte ayudado.

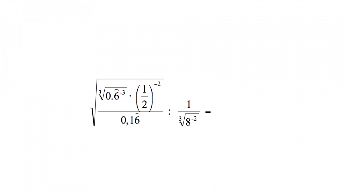
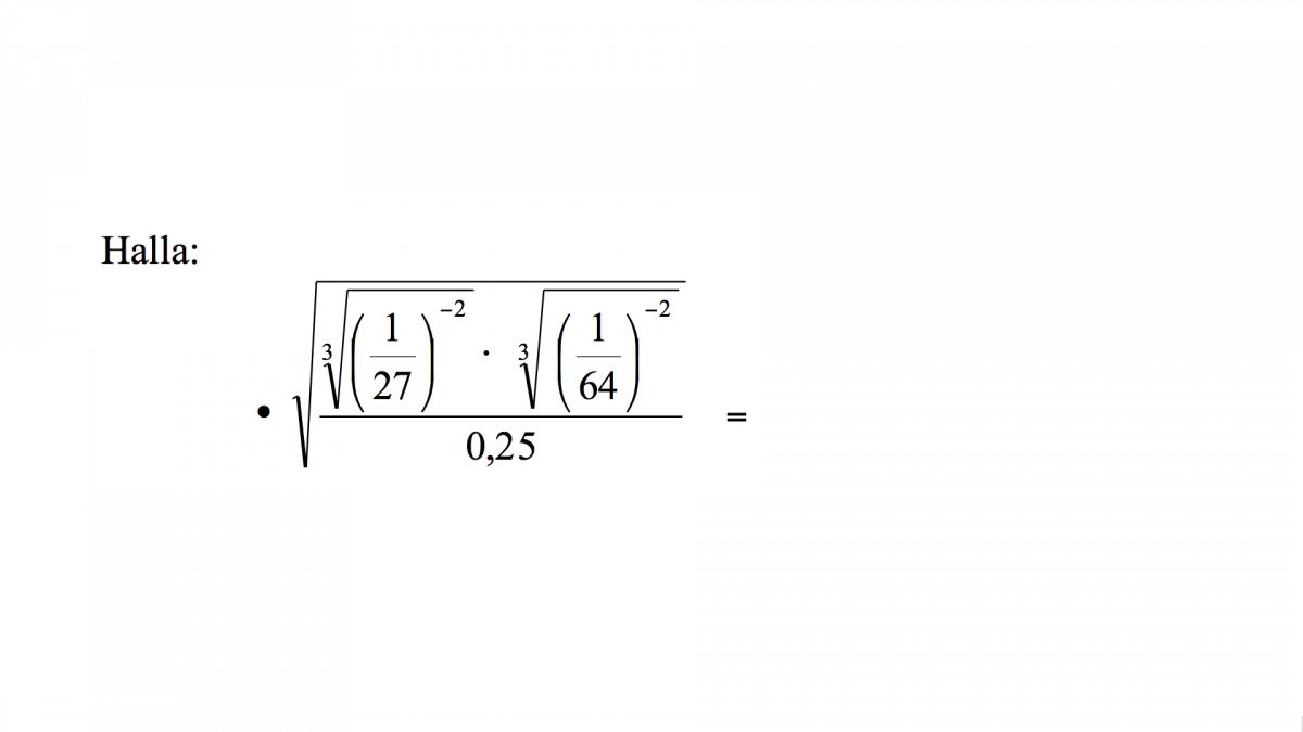
Recuerda los procedimientos para expresar números decimales periódicos, y periódicos mixtos, en forma fraccionaria.
Planteamos a todos los factores y divisores por separado.
0,666... = (6-0)/9 = 6/9 = 2/3, luego: ∛( (2/3)-3 ) = simplificamos índice y exponente = (2/3)-1 = 3/2 (1);
(1/2)-2 = (2/1)2 = 4/1 = 4 (2);
0,1666... = (16-1)/90 = 15/90 = simplificamos = 1/6 (3);
8-2 = (23)-2 = resolvemos la potencia cuya base es otra potencia = 2-6 = (1/2)6 = 1/64, luego: ∛(1/64) = 1/4 (4).
Luego reemplazamos las expresiones señaladas (1) (2) (3) (4) en la expresión del enunciado y queda:
√( (3/2)*4/(1/6) ) ÷ 1/(1/4) =
resolvemos el argumento de la raíz cuadrada, resolvemos la fracción divisora y queda:
= √(36) ÷ 4 = resolvemos la raíz = 6 ÷ 4 = resolvemos y simplificamos = 3/2.
Espero haberte ayudado.

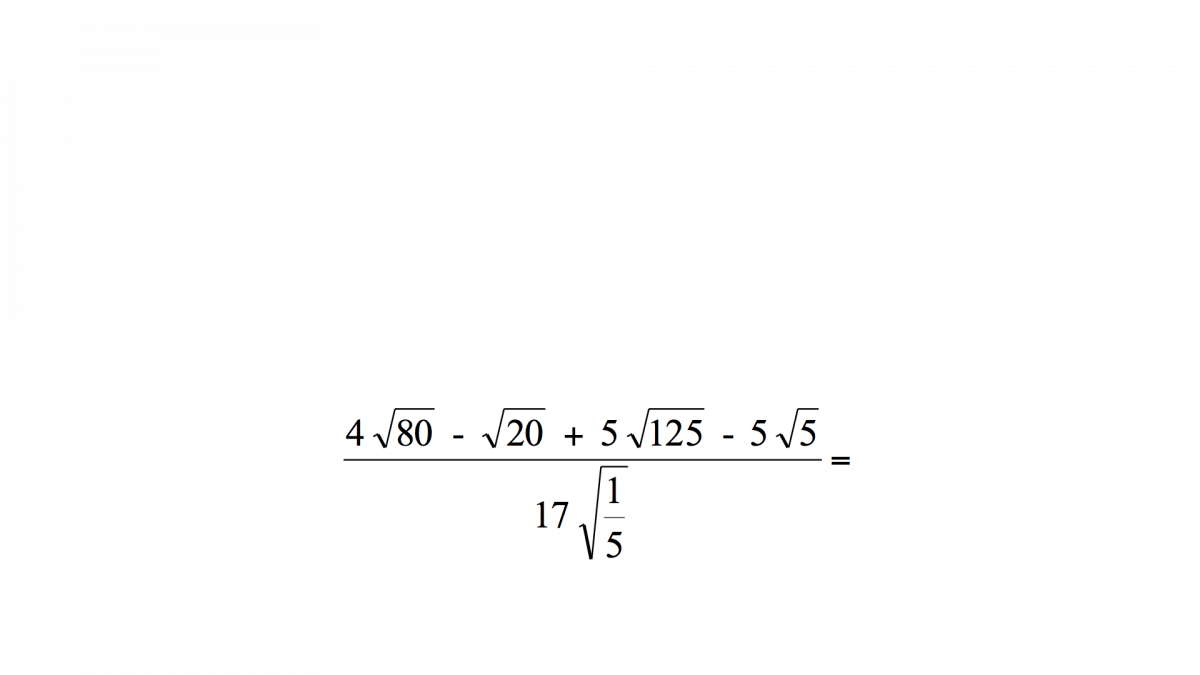
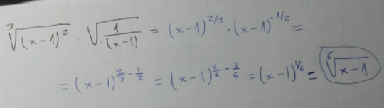
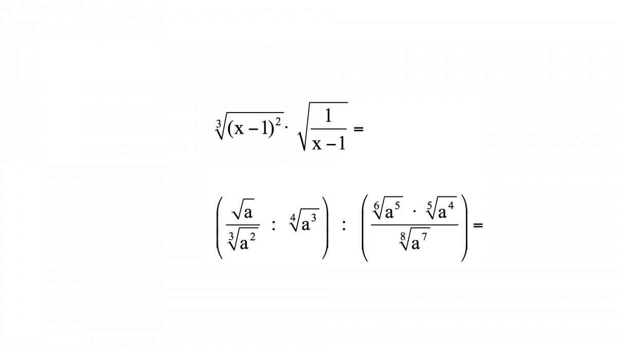
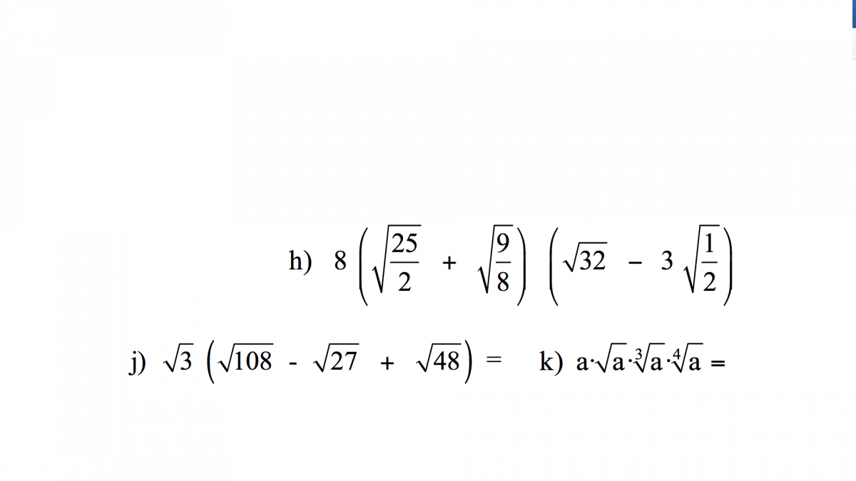
Supongo que te pedirán que factorices, de modo que te quedará todo a razón de raiz de 5, donde ya podrás operar, en la raiz de 1/5 es lo mismo que raiz de 1 (1), entre raiz de 5 de modo que te queda 17 entre raiz de 5 en el denominador y en el numerador 14 raiz de 5, ya lo que te queda es dividir.