Hola dentro de las conicas la parabola es la que mas me cuesta y quedado pegado con este ejercicio
Determinar la ecuación de la parábola cuyo foco es (2,-2); su directriz es 3x-4y+5=0. Además determinar coordenadas del vértice, la longitud del lado recto y la ecuación del eje focal.
De antemano muchas gracias
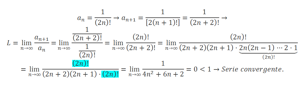
Buenas, ¿alguien me explica como se simplifican los factoriales en una expresión?, tengo un ejercicio que llevo horas viéndolo pero no lo puedo hacer..
teniendo la siguiente serie numérica:
(1)/(2n)!
hay que aplicar el criterio de d alembert y decir si la serie es convergente o no..
Gracias de antemano
Hola Unicoos, me gustaría que me ayudaran con unos ejercicios que hace días llevo intentando pero no me salen. Los ejercicios son: 46,59,63.
¡Muchísimas gracias!

Ejercio 46: En una ciudad de clima mediterráneo la temperatura (en grados Celsius) viene dada por la función trigonométrica:
calcula: a) la temperatura a las tres de la tarde (15 horas) b) ¿A qué hora hará una temperatura de 12 ° c) Las temperaturas máximas y mínimas.Ejercicio 59: Determina la gráfica de la función que define el consumo (en hectolitros por hora) del riego por aspersión del jardín de una comunidad de vecinos en función del tiempo (en horas), que presenta de la forma siguiente.
Ejercicio 63:
Des de una altura de 6 metros se lanza una pelota al suelo que sigue una trayectoria rectilinea y oblicua. La pelota rebota al suelo dentro de 10 segundos y sale rebotado con el mismo ángulo hasta a entrar en una ventana que está en una altura de 4 metros. Considera nula la gravedad y resuelve:
a) Representa gráficamente la altura en función del tiempo, h(t).
b) Qué función describe el movimiento.
c) Calcula para que valor de t la pelota entra por la ventana.
Para el apartado B) tienes que buscar con qué valores de t el seno se anula y nos queda unicamente el +12
Es el caso de que seno valga cero o pi...
para que valga cero, t=24 (que corresponde a las 24:00)
para que valga pi, t=0 (que corresponde a las 00:00)
...como 00:00 y 24:00 corresponden a las 12 de la noche, concluiremos que a esta hora es a la que estamos a 12 grados celsius
Para el apartado C), para saber las temperaturas máximas y mínimas tendrás que tener en cuenta la gráfica del seno, porque la función que representa la temperatura varía según las forma de esta.
La temperatura mínima la hallamos en el anterior apartado (12 grados, cuando sen 0=0, sen(pi)=0)
La temperatura máxima será cuando sen (pi/2)=1, es decir, cuando t=12 (a las 12 de la mañana será la temperatura máxima: 2*sen(pi/2)+12= 14 grados celsius
Buenas
Cómo sé que 3 puntos (en el espacio o la recta) son colineales?
Gracias de antemano
Hola profe! buenas tardes!
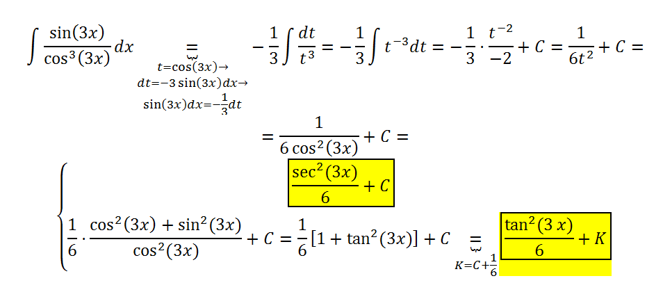
Disculpe la molestia, pero tengo una duda con una integral:
∫(sen3x / cos³3x)dx
según, a mi me sale: tan²(3x) +C
pero mi profesor dice que está mal, que es: sec² 3x
Hola Unicoos,
No soy capaz de sacar las ecuaciones paramétricas a partir de la general. No me manejo muy bien con la ecuación general, sé desarrollarla si antes tengo la ec.continua, pero por sí sola no sé sacar la A, B, C. Me podrían ayudar?
Muchas gracias.
Una forma de conseguir las ecuaciones paramétricas de una recta es con un punto y un vector director de la misma, por lo tanto debes encontralos. Para ello debes hallar 2 puntos de la recta, luego calcula, con ellos, el vector director de la recta, y por último escribes las ecuaciones paramétricas con los datos obtenidos.