Buenos días, he hecho este ejercicio y a la hora de estudiar las asintotas me sale obviamente que hay unba asíntota vertical en x=1 pero al calcular la asíntota horizontal me sale que cuando el lim tiende a infinito me sale infinito pero cuando tiende a menos infinito me da zero, así que creo que quiere decir que por un lado tiene A.H y por otro no, pero no entiendo muy bien este concepto, ya que me surje la duda de que por el lado que no hubiera horizontal hubiera oblicua .
El enunciado dice: sea la función f definida para x≠1 por f(x)= ex/(x-1)
¿Me pueden ayudar?Gracias.
Hemos constituido una empresa de transporte con una capacidad de 50000 euros y un préstamo bancario de 25000 euros al 5%de interés
Con este préstamo hemos adquirido un vehiculo con un importe de 60000 cuya vida útil es de 10 años y un valor residual de 10000 euros.
Durante el primer ejercicio hemos obtenido unos ingresos de 100000 euros y hemos tenido unos gastos corrientes(sueldos,alquiler,gasóleo,etc.) de 75000 euros.
Si los tipos de interés sin riesgo son de 3% y la rentabilidad de empresa del sector de 10%,calcula:
-Los resultados del primer año,teniendo en cuenta el capital propio
-El coste medio ponderado.
Con esta fórmula si puede ser : CMP=(Ke.E+Ki.D)/E+D
Me pueden ayudar, gracias.
El 4% de las reservas de un vuelo no son utilizadas. Según esta observación, una compañía de aviación vende 150 billetes para 140 plazas. ¿Cuál es la probabilidad de que todos los pasajeros consigan plaza?
Buenas, tengo una duda de vectores, mi pregunta es, el vector director de una recta "r" es el vector normal de una recta perpendicular a ella? O al revés, el vector normal de la recta "r", es el director de la perpendicular???
hola que tal me podrían orientar con este problema En el conjunto de numeros [1,2....., N] se eligen tres numeros al azar uno por uno sin reemplazo. Hallar la probabilidad de que el tercer numero seleccionado se
encuentre en el intervalo formado por los dos primeros, si se conoce que el primer
numero seleccionado es menor que el segundo numero seleccionado.
yo analice que n2 tendría que tener esta forma n1+2
Hola, me podrían ayudar con estos dos ejercicios. Muchas gracias.
1) En cierto país la probabilidad de que nazca una niña es 0,58. Si se producen en un año 1000 nacimientos, ¿ cual es la probabilidad de que el número de niñas nacidas esté comprendido entre 501 y 550?
2)El 4% de las reservas de un vuelo no son utilizadas. Según esta observación, una compañía de aviación vende 150 billetes para 140 plazas. ¿Cuál es la probabilidad de que todos los pasajeros consigan plaza?
De nuevo una pregunta de continuidad de funciones, ¿En que caso se presentaría una discontinuidad evitable? ¿Y de que manera se la soluciona? Si puede ser con un ejemplo sería genial, gracias de antemano
Una función presentará una discontinuidad evitable en un punto cuando sin tener imagen en ese punto existe el límite en ese punto. La discontinuidad se soluciona definiendo la imagen en ese punto (recuerda que no existe) como el límite de la función en ese punto (recuerda que si existe). Como ejemplo puedes coger cualquier función a trozos y continua y quitarle el igual, es decir cambiar el ≤ por un < para así conseguir que no tenga imagen.
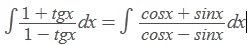
Me ayudan con esta integral? me piden que la resuelva por racional en seno y coseno. Si aplico ese método que me piden entonces esta integral es impar por lo que aplico la sustitución respectiva a la seno y coseno impar, por lo que me quedaran como dos factores cuadráticos ( (-t^2+2t+1)/(-t^2-2t+1) ) y ahí estoy atorado.
tambien lo habia visto por cambio de variable, solo que no queria hacerlo por ahi si no por el otro metodo que es el que me piden. Bueno no importa, de igual manera mi profesora en el dia del examen colocara 3 ejercicios y dirán "integre como el metodo mas adecuado" jaja. Gracias a ambos.
Necesito ayuda para resolver este ejercicio. Calcula en forma exponencial y expresa el resultado en forma binómica:
3ei^μ × e^μ/2i


https://es.wikipedia.org/wiki/F%C3%B3rmula_de_Euler
Y a partir de ahí, con el modulo y el argumento de cada complejo... (3; π y 1; π/2) puedes aplicar lo que aplico en estos videos...